A Boundary Integral Equation Method for Computing Numerical Conformal Mappings onto the Disk with Rectilinear Slit and Spiral Slits Regions

Ali W.K. Sangawi

Department of General Sciences, College of Education, Charmo University, 46023 Chamchamal, Sulaimani, Kurdistan, Iraq

Corresponding author’s e-mail: Ali W.K. Sangawi, Department of General Sciences, College of Education, Charmo University, 46023 Chamchamal, Sulaimani, Kurdistan, Iraq. E-mail: ali.kareem@charmouniversity.org
Received: 02-04-2023 Accepted: 25-04-2023 Published: 10-06-2023

DOI: 10.21928/uhdjst.v7n1y2023.pp92-99



ABSTRACT

This article proposes a boundary integral equation method for computing numerical conformal mappings of bounded multiply connected region Ω onto the disk with rectilinear slit and spiral slits regions, Ω1 and Ω2 Initially, the process involves calculating the boundary value of the canonical region. Cauchy’s integral formula can then be used to compute the mapping of the interior values. The effectiveness of the proposed method is demonstrated using several numerical examples.

Index Terms: Numerical conformal mapping, Boundary integral equations, multiply connected regions, Generalized Neumann kernel

1. INTRODUCTION

The identification of canonical regions plays a crucial role in conformal mappings of multiply connected regions. The regions identified as canonical include the disk with circular slits, the annulus with circular slits, the circular slit region, the radial slit region, and the parallel slit region. Furthermore, additional canonical regions for conformal mappings include the disk with spiral slits region, annulus with spiral slits region, spiral slits region, and straight slits region [1]-[13]. Nasser’s method of computing conformal mapping is based on Riemann-Hilbert problem [2], [5], [14], while Sangawi’s methods rely on integral equations satisfy the interior non-homogeneous boundary relationship [8]-[12].

The canonical slit regions introduced by Koebe [1], DeLillo et al. [15], and Nasser [5] are special cases of the spiral slits region. Sangawi [9]-[11] and Sangawi et al. [12] have demonstrated conformal mapping of bounded multiply connected regions onto the second, third, and fourth categories of Koebe’s canonical slit regions using a boundary integral equation method. In Nasser [14] study, the study of bounded multiply connected region onto the disk with rectilinear slit and spiral slits region was facilitated by reformulating the conformal mapping as a Riemann-Hilbert problem. The present paper aims to establish a new boundary integral equation method for numerical conformal mappings from Ω onto Ω1 and Ω2.

The design of the study is as follows: Section 2 presents some necessary materials. A derivation of integral equation method for computing the function 𝓕 has been presented in Section 3. The boundary integral equation method has been illustrated through examples provided in Section 4. Lastly, Section 5 comprises of the conclusion.

2. NECESSARY MATERIALS

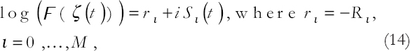
A bounded multiply connected region Ω of connectivity M + 1. The boundary Γ consists of M + 1 smooth Jordan curves Γι,ι=0,1,…,M as demonstrated in the following, (see Fig. 1)

thumblarge

Fig. 1. Mapping of Ω onto Ω1 and Ω2.

The curve Γι is parametrized by a 2π periodic twice continuously differentiable complex function ξι (t)

thumblarge

The complete parameter I is the combination of M + 1 disjoint intervals Iι, ι = 0,…,M. The entire boundary Γ on I is defined by parametrization ξ (t)

thumblarge

Assuming large is a complex function that is continuously differentiable with a periodicity of 2π ∀t∈Iι. The generalized Neumann kernel that is formed using large can be described as[16]:

thumblarge

The classical Neumann kernel is the generalized Neumann kernel formed with large, i.e.

thumblarge

The adjoint kernel N* (s,t) of the Neumann kernel is as follows:

thumblarge

The generalized Neumann kernel Ñ(s, t) is as follows:

thumblarge

Refer to Sangawi [10] for the definitions of N, Ñ and N*.

3. INTEGRAL EQUATION METHOD FOR COMPUTING THE FUNCTION 𝓕

The canonical region can be described as a disk with a finite straight slit along the line where Im 𝓕 =0, as well as M−1 finite spiral slits. Additionally, there is a rectilinear slit, which refers to a slit that lies on a straight line.

thumblarge

The variable α represents the angles of intersection between the line and the real axis. There is also a spiral slit, which refers to a slit that is located on a logarithmic spiral.

Im large

Where the oblique angles α are prescribed in advance.

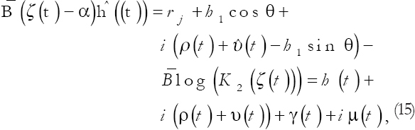
Assume that the function 𝓕(ζ) maps the curve Γ0 onto the circle with radius e-R0, the circle Γ1 onto a finite rectilinear slit that lies on the line where Im (𝓕(ζ))=0, and the curves Γι, where ι=2,…,M, onto M−1 finite spiral slits with oblique angles θι=2,…,M. Therefore, the mapping function that transforms Ω onto Ω1 and Ω2 fulfills the following conditions.

thumblarge
thumblarge
thumblarge

The values R0,R1,…,RM are real constants that have not been determined, large, R(t)=(R0,0,R2,…,RM) [14]. Hence 𝓕(ζ) satisfy

thumblarge

And 𝓕(ζ) can be reformulated as [14]:

thumblarge

Where,

thumblarge

ρ is a radius of Γ1 c=1 for Ω1, c=0 for Ω2, ĥ (ξ) is an analytic function in Ω1 for c=1 and ĥ (ξ) is an analytic function in Ω2 for c=0. And then define S(t) by,

thumblarge

We assume that,

thumblarge

which implies that,

thumblarge

After some algebraic manipulations, we obtain,

thumblarge

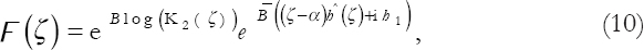
From the definitions of F(ζ) and 𝓕(ζ) we obtain,

thumblarge

Let,

thumblarge

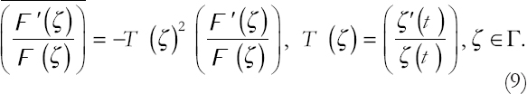
Combining (9) and (11), we obtain,

thumblarge

Equation (10), yields,

thumblarge

We reach the following from (7):

thumblarge

then

thumblarge

where

thumblarge

By obtaining hι, ι=0,…,M, from second equation in Theorem 2; Sangawi [11] we obtain

thumblarge

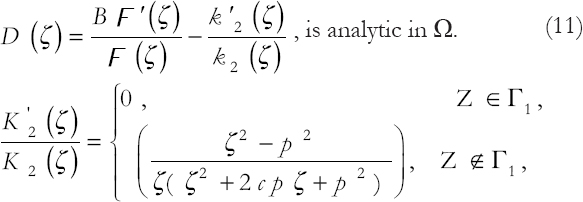
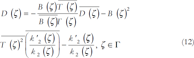
By using Theorem 1 in Sangawi [11], (11), (12) and after some algebraic operations we achieve the following:

thumblarge

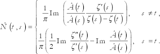
Assume that ξ=ξ (t) and ξ=ξ (s). Then by placing large in (17), we realize

thumblarge

this can be written in its operator form (Ñ=−N*)

thumblarge

As a result, (18) is not uniquely solvable. To deal with this problem, observe

thumblarge

which implies

thumblarge

The combination of (18) and (19) gives:

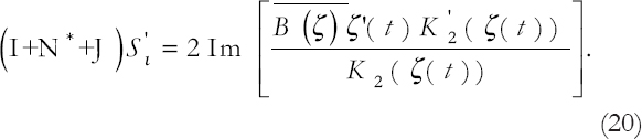
thumblarge

In the light of [14, Theorem 2], (20) is uniquely solvable. large gives the value of large, by using the following equation.

thumblarge

where υι is a real constant integration, we see that,

thumblarge

hι is obtained through solving (13) and (11) in Sangawi [11] from which rι is provided through (16). Having solved (20) we are granted the value large. We obtain υι through the equations (37), (38) and (12) in Sangawi [11] from which large is acquired, after that 𝓕(ζ) is attained by,

thumblarge

Using the Cauchy integral formula, the interior value of 𝓕(ζ) is determined.

4. NUMERICAL EXAMPLES

Nyström’s method alongside the trapezoidal rule [17] [18] was used to solve (13) in Sangawi [11] and (20). The computational details are almost identical to [19], [20].

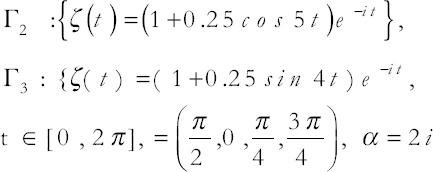
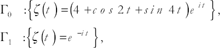
Some test regions of connectivity three, four, and seven have been used for numerical experiments [14]. MATLAB R2020a was used to carry out all the computations. In each boundary Γj the same number of collocation point has been used. Ω, Ω1 and Ω2 are shown in Figures 2-4. Tables 1-3 exhibit our computed values of rι,ι=0,…,6 compared to those of Nasser [14].

thumblarge

Fig. 2. Mapping Ω onto Ω1 and Ω2 with three connectivity.

thumblarge

Fig. 3. Mapping Ω onto Ω1 and Ω2 with four connectivity.

thumblarge

Fig. 4. Mapping Ω onto Ω1 and Ω2 with seven connectivity.

Table 1: Computed values of rι,ι=0,1,2

thumblarge

Table 2: Computed values of rι,ι=0,…,3 with n=128

thumblarge

Table 3: Computed values of rι,ι=0,…,6

thumblarge

Example 1

The region with the following boundaries:

thumblarge

Table 1 give the computed values of r and Ω, Ω1 and Ω2 are shown in Figure 2.

Example 2

The region Ω bounded by four multiply connected region, Nasser [14],

thumblarge
thumblarge

The values of rι,ι=0,…,3 are listed in Table 2 and Ω, Ω1 and Ω2 are shown in Figure 3.

Example 3

The region Ω bounded by seven multiply connected region, Nasser [11],

thumblarge

The values of rι,ι=0,…,6 are listed in Table 3 and Ω, Ω1 and Ω2 are shown in Figure 4. Some more examples are shown in Fig. 5.

thumblarge

Fig. 5. Ω, Ω1 and Ω2 with high connectivity.

5. CONCLUSIONS

The present study proposes a new boundary integral equation for the conformal mapping of multiply connected regions onto the disk with rectilinear slit and spiral slits regions, Ω1 and Ω2. We used the proposed method to compute several mappings of some test regions and computed the boundary values of the mapping function. The interior mapping function was then determined using Cauchy’s integral formula. Numerical examples were provided to demonstrate the high accuracy of the boundary integral equation method.

ACKNOWLEDGMENTS

This work was supported in part by the Ministry of Higher Education through the Charmo University, Kurdistan, Iraq. This support is gratefully acknowledged. I wish to thank Prof. Dr. Arif Asraf for his cooperation and thank an anonymous referee for valuable comments and suggestions on the manuscript which improve the presentation of the paper.

REFERENCES

[1] P. Koebe. Abhandlungen zur Theorie der konfermen Abbildung. IV. Abbildung mehrfach zusammenhängender schlicter Bereiche auf Schlitzcereiche (in German), Acta Mathematica, vol. 41, no. 1916, pp. 305-344.

[2] M. M. S. Nasser and A. A. Al-Shihri Fayzah. “A fast boundary integral equation method for conformal mapping of multiply connected regions”. SIAM Journal on Scientific Computing, vol. 35, no. 3, pp. A1736-A1760, 2013.

[3] M. M. S. Nasser. “A boundary integral equation for conformal mapping of bounded multiply connected regions”. Computational Methods and Function Theory, vol. 9, no. 1, pp. 127-143, 2009.

[4] M. M. S. Nasser. “Numerical conformal mapping via boundary integral equation with the generalized Neumann kernel”. SIAM Journal on Scientific Computing, vol. 31, pp. 1695-1715, 2009.

[5] M. M. S. Nasser. “Numerical conformal mapping of multiply connected regions onto the second, third and fourth categories of Koebe's canonical slit domains”. Journal of Mathematical Analysis and Applications, vol. 382, pp. 47-56, 2011.

[6] M. M. S. Nasser, A. H. M. Murid and A. W. K. Sangawi. “Numerical conformal mapping via a boundary integral equation with the adjoint generalized Neumann kernel”. TWMS Journal of Pure and Applied Mathematics, vol. 5, no. 1, pp. 96-117, 2014.

[7] Z. Nehari. “Conformal Mapping”. Dover Publication, New York, 1952.

[8] A. W. K. Sangawi, A. H. M. Murid and M. M. S. Nasser. “Linear integral equations for conformal mapping of bounded multiply connected regions onto a disk with circular slits”. Applied Mathematics and Computation, vol. 218, no. 5, pp. 2055-2068, 2011.

[9] A. W. K. Sangawi and A. H. M. Murid. “Annulus with spiral slits map and its inverse of bounded multiply connected regions”. International Journal of Scientific Engineering and Research, vol. 4, no. 10, pp. 1447-1454, 2013.

[10] A. W. K. Sangawi. “Spiral slits map and its inverse of bounded multiply connected regions”. Applied Mathematics and Computation, vol. 228, pp. 520-530, 2014.

[11] A. W. K. Sangawi. “Straight slits map and its inverse of bounded multiply connected regions”. Advances in Computational Mathematics, vol. 41, pp. 439-455, 2015.

[12] A. W. K. Sangawi, A. H. M. Murid and L. Khiy. “Fast computing of conformal mapping and its inverse of bounded multiply connected regions onto second, third and fourth categories of Koebe's canonical slit regions”. Journal of Scientific Computing, vol. 68, pp. 1124-1141, 2016.

[13] G. C. Wen. “Conformal Mapping and Boundary Value Problems. English Translation of Chinese Edition, 1984. American mathematical Society, Providence, 1992.

[14] M. M. S. Nasser. “Numerical conformal mapping of multiply connected regions onto the fifth category of Koebe's canonical slit regions”. Journal of Mathematical Analysis and Applications, vol. 398, pp. 729-743, 2013.

[15] T. K. DeLillo, T. A. Driscoll, A. R. Elcrat and J. A. Pfaltzgraff. “Radial and circular slit maps of unbounded multiply connected circle domains”. Proceedings:Mathematical, Physical and Engineering Sciences, vol. 464, no. 2095, pp. 1719-1737, 2008.

[16] R. Wegmann and M. M. S. Nasser. “The Riemann-Hilbert problem and the generalized Neumann kernel on multiply connected regions”. Journal of Computational and Applied Mathematics, vol. 214, pp. 36-57, 2008.

[17] K. E. Atkinson. “The Numerical Solution of Integral Equations of the Second Kind”. Cambridge University Press, Cambridge, 1997.

[18] P. J. Davis and P. Rabinowitz. “Methods of Numerical Integration”. 2nd ed. Academic Press, Orlando, 1984.

[19] A. H. M. Murid and H. Laey-Nee. “Numerical experiment on conformal mapping of doubly connected regions onto a disk with a slit”. International Journal of Pure and Applied Mathematics, vol. 51, no. 4, pp. 589-608, 2009.

[20] A. H. M. Murid and H. Laey-Nee. “Numerical conformal mapping of bounded multiply connected regions by an integral equation method”. International Journal of Contemporary Mathematical Sciences, vol. 4, no. 23, pp. 1121-1147, 2009.