Acoustic Comfort Evaluation in Traditional Houses and its Impact on Inhabitant Satisfaction in the City of Sulaimani

Shilan Ameen Mustafa, Banaz Nasraldeen Muhealdeen

Department of Architecture, College of Engineering, University of Sulaimani, Sulaymaniyah, Iraq

Corresponding author’s e-mail: shilan.mustafa@univsul.edu.iq, banaz.muhealdeen@univsul.edu.iq
Received: 07-08-2023 Accepted: 08-11-2023 Published: 14-12-2023
DOI: 10.21928/uhdjst.v7n2y2023.pp50-68


ABSTRACT

Acoustic comfort is one of the essential needs for people to live in calm and comfort in dwellings. Because of technological and industrial development, noise pollution became one of the big dangers that impacts human psychologically and physiologically. The historical neighborhoods in Sulaimani City are affected by this technological advancement, the demolishing of traditional houses and changed to commercial has increased the environmental noise. Therefore, this research aims to evaluate residents’ satisfaction in traditional houses in term of acoustic conditions, also aims to investigate if the design characteristics of traditional houses have role in providing acoustic comfort, and to promote traditional designs in today’s architecture. The absence of a practical study evaluating acoustic conditions in traditional houses and their impact on inhabitants’ satisfaction in Sulaimani city formed the main problem of the research. The results from the questionnaire and the in situ measurements have shown that, although most of these old houses were demolished and changed to commercial areas, the acoustic environment inside most houses is comfortable and most inhabitants are satisfied with the acoustic conditions. The traditional design turned the houses to be a barrier against transmitting noise whether from outside to inside or vice versa.

Index Terms: Acoustic comfort, Noise, Inhabitant’s satisfaction, Noise control, Traditional characteristics, Traditional house.

1. INTRODUCTION

Comfort and relaxation are two crucial basic needs for human life. Comfort can also be explained in terms of pleasantness and satisfaction, these two features have also been involved alongside noise annoyance in acoustic surveys relating to subjective noise evaluation [1, p. 21]. In the historical neighborhoods in Sulaimani city, the changing of land use from residential to commercial, and mixing residential areas with commercial arias has increased the environmental noises in these neighborhoods.

Therefore, this research focused on human’s satisfaction in term of acoustic comfort inside dwellings. Furthermore, it focused on the traditional houses in the city of Sulaimani as study cases, because of its unique design and construction if compared to modern or contemporary architecture in the city. Moreover, there is a gap of knowledge about this type of houses in term of acoustic comfort.

Hence, the main problem of this research is the lack of such research focusing on acoustic conditions and noise problems, and its impact on people’s satisfaction, in Sulaimani city. Furthermore, there is a lack of such attempt to assess traditional house design in term of acoustic comfort, in the city of Sulaimani.

Therefore, the research aims to: Evaluate residents’ satisfaction in traditional house in term of noise and acoustic conditions inside their house, also, aims to investigate if the design characteristics of traditional houses have the core role in providing acoustic comfort, in order to enhance the traditional design in today’s house design.

2. LITERATURE REVIEW

There are many studies and research examining the issue of the noise problem in residential projects, especially residential buildings, in various regions and around the world in general [1], [2], [3]. Furthermore, there are many studies that evaluate traditional house in the Kurdistan region in terms of, formation type, thermal comfort, visual comfort, and indoor air quality [4], [5], [6], [7].

However, studies that address the issue of the acoustic conditions of traditional houses, whether in Iraq or the Kurdistan region in general, and the city of Sulaymaniyah in particular, are rare or non-existent. The only source or research that has a weak relation with this topic is a study by Susan Abd Hassan, entitled “Sound environment of Cities: A Comparison Study for Sound Environment between Modern and Traditional urban fabric in Baghdad city,” the study focused on comparison of acoustic environments between traditional and modern urban fabric in Bagdad city. Moreover, it emphasized on technological changes that have changed urban traditional fabrics and acoustic environments [8]. However, the evaluation of acoustic conditions of the traditional houses, and people’s satisfaction of the indoor sonic environment has not been considered. The researcher did not find a study that specifically studies the traditional houses in Sulaimani city in term of acoustic comfort and its impact on residents’ satisfaction and wellbeing.

After observing previous studies and ensuring that this problem has not been studied, the research hypothesized following basic points:

  • Although, the environmental noise has increased in old neighborhoods in Sulaimani city. There is a strong relationship between acoustic comfort inside traditional houses and inhabitants’ satisfaction and preferences.

  • The design characteristics of Sulaimani’s traditional houses have the key role in providing acoustic comfort.

2.1. Acoustic Comfort

Comfort is “the state of being physically relaxed and free from pain”; as well as “the state of having a pleasant life, with everything that you need” (www.oxfordlearnersdictionaries.com) [9]. Hence, “Acoustic comfort is the state of comfort which relates to the acoustic conditions in general, the sound environment, and the sound stimuli around” [1]. Cummins was the first to use the concept of acoustic comfort concerning buildings, in his book “Classes of acoustical comfort in Housing” Daniel Commins defined Acoustical comfort as: “The ability of buildings to protect the users against noise and to provide an acoustical environment suitable to human activity.” [10, p. 1]. Then, acoustic comfort is characterized by Rindel and Rasmussen [11], as: “Absence of unwanted sound, presence of wanted sound of desired level and quality. Opportunities for acoustic activities without annoying or disturbing other people and without being heard by unauthorized persons” [11, p. 3], [12, p. 400].

The design, the planning, and the construction methods are all considered to be the features that affect acoustic performance. When sound behaviors in reflection and absorption are perfectly controlled, the outcome of which determines the nature of the efficiency of acoustic performance in space [13, p. 3].

2.2. Noise and Source of Noise

Szokolay (2004) defines noise as “random vibrations, showing no regular pattern”. Noise is regarded to be a subjective phenomenon, that is, one person may enjoy a sound but the same sound could be a noise for someone else. The only meaningful definition of noise is therefore “unwanted sound” [14, p. 153]. Furthermore, any sound undesired by the recipient is classed as noise, as it detracts from the quality of human life [15, p. 38]. According to Cowan, “noise, as a sub-discipline of acoustics can be described in terms of two key parameters, namely, frequency and wavelength. These parameters are quantities that describe the nature of pressure fluctuations in a medium, such as air, which is eventually interpreted as sound in the brain. Both of the parameters are influenced by the speed of sound, direction of sound travel, and the time that sound arrives at a listener’s ears” [2, p. 162]. According to Commins and Meier [10], noise sources consist of:

  • Human source: Voice, steps, movements, radio, television

  • Individual equipment: Apartment heaters, washing machines, and other domestic equipment.

  • Collective equipment: Heaters, lifts, transformers, air conditioners.

  • Outdoor noise: Automobile, bus, railway, aircraft noise, industrial noise, etc. [10, p. 4].

Based on Rindel [12], the most serious problem may be exposure first to traffic noise and the need for sound insulation of windows and façades. Second noise from neighbors and the need for sound insulation of internal walls and floors [12, p. 395], to prevent sound transmission through separating elements. Besides, it is crucial to prevent noise propagation through the adjoining, so-called flanking components. Accordingly, building acoustics has to consider and evaluate both the separating and the flanking components [16, p. 25].

Accordingly, noise can be classified into three types according to their sources:

  • Noise from outside: Such as traffic noise, motorcycles, children playing, dogs barking, industries, construction, etc.

  • Noise from neighbors: Such as TV, appliances, people talking, children playing/crying.

  • Internal noise: such as acoustic resonance, TV, people talking, noise from kitchen, and appliances.

2.3. Impact of Noise on Humans

Hearing as a physical process and listening as a psychological act are regarded as two different processes in which the listening process suggests a connection to what we are hearing [17, p. 1]. Regarding human health, noise can have short-term as well as long-term effects. The effects are not directly observable and can vary according to the time of day [18, p. 16]. Exposure to high levels of noise may trigger stress reactions, sleep-stage changes, and other biological and biophysical effects which consequently result in a worsening of different health risk factors such as blood pressure. These changes, within a small part of the population, may develop serious clinical symptoms, such as insomnia and cardiovascular diseases that, as a consequence, can increase rates of premature mortality [19, p. 8].

2.3.1. Annoyance

According to the oxford dictionary Annoyance is “the feeling of being slightly angry” (www.oxfordlearnersdictionaries.com) [20]. Furthermore, described to be a feeling of displeasure toward an agent or a condition that seem to affect an individual or a group by Koelega, 1987, cited in [19, p. 9]. Apart from traffic noise which has been seriously known as a source of annoyance, the investigation of LARES (Large Analysis and Review of European housing and health Status) confirmed that neighbor noise as a chronic noise is associated with hypertension, depression, and migraine. Neighbor noise annoyance is a highly underestimated risk factor for healthy housing [3].

2.3.2. Sleep disturbance

According to WHO (1999), uninterrupted sleep is known to be a prerequisite for good physiological and mental functioning of healthy persons; however, sleep disturbance is considered to be one of the effects arising from exposure to environmental noise. Noise can cause difficulty in falling asleep, awakening, and alterations to the depth of sleep, especially a reduction in the proportion of healthy rapid eye movement sleep [19, p. 8]. Sleep disturbance is thought to have the greatest effect on health because it can have impacts on alertness, performance at work and general quality of life [21, p. 5]. Based on the findings from a large survey by The World Health Organization in eight European cities from 2002 to 2003, of all responding residents, 24% reported that noise exposure at night was the main reason for sleep disturbance, especially traffic noise and noise from neighbors were identified as the most dominant cause of sleep disturbance [12, p. 396].

2.3.3. Negative human emotion

In addition to annoyance following exposure to prolonged high levels of environmental noise, people may also feel a variety of other negative emotions, for example, feelings of anger, depression, helplessness, anxiety, and exhaustion [19, p. 9], that will affect daily social life and productivity [15, pp. 38-39]. Based on Rendil’s findings [12], neighbor noise may affect people in different ways. some people may react with curiosity, changing to annoyance and anger and, in severe cases, ending with hatred and other similar reactions. On the other hand, other people may react with irritation, growing to tension and depression [12, pp. 396-397].

The explanation of the impact of noise on humans demonstrated that exposure to noise whether short-term or long-term has its effect on people, such as sleep disturbance, annoyance, and human emotions. Following exposure to prolonged high levels of environmental noise, people may also feel a variety of other negative emotions that affect daily social life and productivity as well as cause neuro-vegetative-hormonal regulatory disturbances followed by illness. Noise problems were surveyed as the greatest single source of dissatisfaction related to where people live.

2.4. Human Satisfaction and Acoustic Conditions

To achieve real satisfaction, the human body should therefore be at a level of comfort, that depends on the adaptation of the inside to the outside environment. Navay and Veitch identified that acoustic satisfaction is a dimension of environmental satisfaction, which is defined as “a state of contentment with physical environmental conditions.” Moreover, they explained that the name acoustic satisfaction refers specifically to satisfaction, with acoustic conditions, as, the term “dissatisfaction” has the same meaning as the term “distracting,”, irritating, and annoying and is often used to evaluate annoyance with acoustic conditions such as noise level [22, p. 9].

Accordingly, the environment is one of the key factors to influence human comfort, thus; to provide human comfort, one must pay attention to specific designs and techniques in construction approaches or methods of designing a place [4, p. 238]. According to Zannin (2003) and Lee (2007), the mean value for acoustic conditions that listeners can adapt to should not exceed 62–65 dBA, as cited in [2, pp. Ch. 7, 13], also the Iraqi requirements for noise level inside houses indicated 45dB as an acceptable level of acoustic conditions during 24 h according to external noise [23, pp. Ch. 2, 31].Based on Yu’s study, a number of positive sounds are in existence in the environment and that pleasant sounds allow people to enjoy their living environment [18, p. 17]; however, Hewitt (2015) in his book “Conceptual Physics” classified Sound into pleasant or unpleasant sounds, most unpleasant sounds are several noise types, and, pleasant sounds are often related to music, as cited in [24, p. 2]. The parameters that impact on human satisfaction include:

2.4.1. Sound level effects

Loud or silent describes a sound that produces a large or small auditory sensation, which is related to the physical intensity of the sound. However, the subjective sensation is not in simple proportion to the objective intensity [15, p. 17]. According to Navay and Veitch’s review (2003), ambient noise levels (from all sources) that exceed 45–50 dB(A) are associated with annoyance. However, they added, “There could be some sources that are more annoying even at lower levels or others that are tolerable at higher levels” [22, p. 15].

2.4.2. Sound frequency

Middle- and high-frequency sound wavelengths occupy dimensions on the order of the scale of the diameter of the human ear canal. It is these frequencies, then, that resonate in our auditory system, which is why we are more sensitive to frequencies at 500 Hz and above than to those at 250 Hz and below. However, low-frequency sounds should command our attention too, despite our diminished sensitivity to them. Low-frequency sounds are what build up annoying resonances (also called standing waves) in small spaces. Finally, fans, pumps, elevators, garbage disposals, generators, trash compactors, and garage, door openers, many of the machines found in buildings generate considerable low-frequency noise [25, p. 22]. The investigation on the impact of sound frequency on satisfaction showed that too much high-frequency contribution to ambient noise can be unsatisfactory or annoying to occupants [22, p. 17].

2.4.3. Type of sound source

The previous studies demonstrated that traffic noise and neighbor noise are associated with annoyance [3], and both were highlighted as the dominant cause of sleep disturbance [12, p. 396]. In addition to annoyance and sleep disturbance following exposure to prolonged high levels of environmental noise, people may also feel a variety of other negative emotions, for example, feelings of anger, depression, helplessness, anxiety, and exhaustion [19, p. 9].

Studies have proven that people’s satisfaction with their houses and where they live will depend on acoustic conditions and many acoustic parameters, such as sound level, sound frequency, and sound source are identified to have strong relation with people’s satisfaction. It has been investigated that the psychological and physiological effects that noise has on people imply a key role in dissatisfaction related to where people live.

2.5. Controlling Noise Inside Buildings

According to studies, controlling noise is the main aspect that improves acoustic comfort inside buildings especially during the design process. Mommertz [16] in his book demonstrated the importance of noise control, especially in housing because it plays a great role in the health and well-being of people [16, p. 49]. It can be possible to improve acoustic comfort in dwellings using architectural and structural design, such as.

2.5.1. Space planning of the interior layout

Positioning noisy areas so that they are far from quiet areas is often the best of the solutions available [25, pp. 185-186]. Commins and Meier have classified rooms according to acoustic comfort in dwellings into “Noisy” rooms, which include kitchens, bathrooms, play-room, toilets, and living-room. Moreover, “Sensitive” rooms: Including bedrooms [10, p. 51], However, living room is also required quite location in the house according to Mommertz [16].

2.5.2. Room Orientation

Wherever possible, bedrooms and living rooms should be placed on the side facing away from the noise, because, the sound level in front of the windows on the side of the building facing away from the source of the noise is about 5–10 dB lower than that on the side facing the source [16, p. 46]. Ermann has recommended that it is important to orient quiet spaces, such as bedrooms, so their wall exposure is on a building face away from the noise source. Moreover, noisier spaces such as kitchens, bathrooms, and utility spaces can be used as buffers on the noisy face of the building. [25, p. 216] (Fig. 1).

thumblarge

Fig. 1. The impact of room orientation on reduction of noise [23, p. 203].

2.5.3. Small windows (windows to wall ratio)

The larger the glazing area, the greater the amount of noise energy able to pass through it. The impact of single glass window size in a brick wall as the sound insolation of the glass is so much lower than the sound insolation of the brick [26, p. 188] (Fig. 2).

thumblarge

Fig. 2. The impact of windows size on transmitting noise through two spaces [24, p. 188].

2.5.4. Outdoor Barriers

Outdoor barriers can be used to reduce environmental noises, especially high-frequency sound energy [26, p. 253]. According to Ermann, barriers provide noticeable attenuation when properly designed, the distance of the barriers from the source and the receiver and its height will impact the amount of sound attenuation. And also, barriers should, at a minimum, break the line of sight between the source and the receiver. Higher is better [25, p. 210]. As illustrated in Fig. 3.

thumblarge

Fig. 3. The impact of height of the barrier, and the distance between noise and the receiver [24, pp. 256-257].

In the Fig. 3 above, the barrier is effective when it is tall which break acoustical line of sight between the source and the receiver, and the barrier should be close to the source and far from the receiver.

2.5.5. The weight (mass) of the building elements (wall thickness)

The building weight (mass) has an effect on the reduction of vibration and noise, less sound is transmitted and the building can seriously resist the vibration when the building weight is great [26, p. 174]. The rule here is “the higher the mass per unit area of the wall, the higher its sound insulation value” [16, p. 29] (Fig. 4). Furthermore, Egan claimed the heavier the materials are, the better sound isolation is. This is the fundamental principle of sound isolation for architectural acoustics [26, p. 177]. Due to their mass, brick walls are among the top materials for reducing the transmission of airborne sounds. In comparison to wood and solid constructions built of poured concrete. Mostly, masonry — whether it be clay brick, cement brick, concrete block, or stone — performs better at sound control. When an external brick wall is created as a barrier between two spaces as well as between the space and the road, exterior environmental noise can be reduced. Textured face-brick walls reduce reflected sound [27, pp. 8-11] (Table 1) and illustrate methods and standards for some construction materials according to sound transmission loss.

thumblarge

Fig. 4. Sound transmission through heavyweight and lightweight materials [24, p. 174].

Table 1: Sound transmission loss in some construction materials [13, p. 303]

thumblarge

Fig. 5 shows that the thickness of construction materials impact on the value of sound transmission loss, the greater the thickness of the materials, and the greater value of its sound transmission loss.

thumblarge

Fig. 5. The old seven neighborhoods in the city of Sulaymaniyah (Source: Google Earth) highlighted (by Researcher).

2.6. Traditional Dwelling’ Technique and Solutions

Based on Ragette [26], the term tradition is “Deriving from the Latin word Tradire, or passing on, it is based on age-old practical experience, also, called native, indigenous or vernacular, meaning home-born or derived from the locality” [28, p. 9]. According to Ettouney and Fricke’s study [29], regarded houses with courtyards as the traditional form of housing in many countries which have several inherent advantages over other housing types. Windowless walls are directed to the outside, all the rooms facing the courtyard, from which only the sky could be seen [29, p. 120].In traditional dwelling patterns, there is a high degree of harmony between buildings, locations, and geography. Moreover, the use of readily available materials and forms as well as local culture creates a lasting and direct consensus between the buildings. It can be said that the traditional house achieves solutions at a high level of environmental planning [4, pp. 238-239].

There are many similarities between Kurdish architecture and Islamic architecture. According to Ragette [28], the traditional house in the Islamic and the Arab region has many characteristics, including, closed cells, courtyard houses, gallery, Iwan, [28, pp. 54-60], in term of construction methods and materials, the traditional house in Islamic cities is characterized by constructing load bearing walls with narrow openings and a low door, flat roofs, which were made of mud, mud brick, and stones [28, pp. 26-32]. Furthermore, Kurdish traditional house has that several similar techniques were used, such as; clay bricks, thick walls, small windows, and courtyards with partial greening [4, pp. 238-239].

As well as, many building materials were used as main materials, such as brick or stone for the walls, wooden structures for the roof, and hard limestone [4, p. 244]. Except of the formation type, as a study by Qaradaghi has found that the formation type of courtyard house in Sulaimani city is similar to rural houses not derived from Arab or Islamic architecture [6]. Moreover, he described the traditional house in the old neighborhoods in the city is characterized by courtyards, the houses are of an oriental style overlooking a side or front yard (yard), and the yard is open, and it may contain a basin of water and a small garden [6, p. 166].

From the theoretical part, the research reached:

  • Noise level as a parameter of acoustics has negative impacts on humans. It is important to investigate noise levels inside dwellings, to control its propagation and reduce its negative impacts.

  • Acoustic comfort of in dwellings, impacts on people’s satisfaction toward their houses, as bad acoustic conditions may cause residents move to another house to live in.

  • There are several ways to control noise propagation, whether inside or from outside to interior spaces, during design dwellings or buildings. Such as plan layout, room orientation, opening ratios, barriers, and the weight of the structure.

3. MATERIALS AND METHODS

3.1. Methodology of Data Collection and Measurement of Variables

Based on scope of the research and to reach the validity of the research’s hypothesis, several methods were carried out in this study:

  • The questionnaire form.

  • The in situ measurements for noise level.

    • For the questionnaire form, the questionnaire was filled out by the inhabitants who live in these types of traditional houses, which included indicators that derived from the theoretical part of this research. The answers were classified according to a rule that comprises five classifications of (strongly disagree), (disagree), (neutral), (agree), and (strongly agree). Aiming to get a general outline of the most common noise annoyances for residents, and comfort level of acoustic conditions inside traditional dwellings.

    • For the in situ measurements, the sound level meter instrument (Ambrope sm-20a sound meter) was used to measure the A-weighted Sound pressure Level (LAeq), by which reads the minimum, maximum, and average (LAeq) values of noise level.

This measurement is used, to find out the level of acoustic environment, whether inside or outside building. The aim behind using this measurement in this research is to investigate the impacts and roles of traditional design in noise reduction.

And finally, a statistical analysis using SPSS is carried to compare the result from the in situ measurement with the result from questionnaire form, to find the relationship between inhabitants’ satisfaction acoustic comfort, and the relationship between acoustic comfort and traditional design in Sulaimani’s traditional architecture.

3.2. Study Area and Samples

First, the old neighborhoods in the city were selected as study area. The city of Sulaymaniyah was founded in 1784 and then established by Ibrahim Pasha Baban as the capital of Baban princedom [30, p. 75]. Based on some sources mentioned in Qaradaghi’s book [31], Malkandi is the old neighborhood in the city, which belongs to its foundation in 1784, then other neighborhoods such as Sabunkaran, KaniAskan, Dargazeen, and Chwarbakh were later founded as separate neighborhoods of the city [31, p. 22]. Fig. 5 shown the seven old neighborhoods of the city of Sulaimani.

3.3. Descriptions of Samples

Within the old neighborhoods in the city of Sulaimani, five traditional houses were chosen, which equals 8% of the total sample size of traditional houses that are still used by people., the houses were selected randomly in this study, and have these characteristics:

  • Historical, that were constructed before or from 1900-1960 AC, houses that belongs its construction to the traditional stage in the city, which the buildings have an old structure with an age of more than 50 years or built before (1960) according to [29], to find out the effectiveness of traditional Kurdish architecture according to acoustic comfort.

  • The houses are in use by residents to investigate their satisfaction with acoustic conditions in their houses.

  • The houses remain untouched structurally or have few modifications. To investigate the role of the traditional style in term of acoustic comfort.

In Fig. 6 and Table 2, it shows the location of each case, which they locate in Sabunkaran and Malkandi and Dargazen, as they are the eldest neighborhoods in the city (Fig. 6), as well as, the detailed descriptions of each house illustrated by drawings and real pictures (Table 2).

thumblarge

Fig. 6. The five case study houses in the three old neighborhoods in the city (Source: Researcher).

Table 2: Samples descriptions, with its detailed drawings (plans, sections, Elevations and Perspectives), and real pictures (Source, Researcher)

thumblarge

4. RESULT AND DISCUSSION

4.1. Result from Questionnaire Form

The questionnaire form filled out by 34 participants as they are inhabiting in traditional houses. were asked to evaluate noise, and the impact of noise according to its source, also they were asked to evaluate several spaces in their traditional house according to noise external noise, neighbor noise, internal noise, or none of them, to identify their preference according to the internal spaces. Finally, they were asked about their satisfaction with their traditional houses in terms of acoustic conditions. Shown in Table B1.

  • The questions started by describing the acoustic environment in the traditional houses, by asking them (which types of sounds ‘pleasant or unpleasant’ do you hear the most in your house?), the answer “pleasant sounds” such as birdsongs and wind in trees, was the most frequent sound that heard by participants which act as noise masking against external noise, comprising 41.2%, whereas only 17.6% of participants hearing unwanted sounds. as the courtyard itself has the role of masking outside noises by its trees, which increasing hearing birdsongs and wind sound inside their leaves and branches (Table 3).

  • According to the question about the evaluation of noise type according to their impact on inhabitants, which was classified into three types; outside noise, neighbor noise, and internal noise, the result was that noise from outside sometimes could be annoying comprising 30.5% of participants, and 38.9% have neutral answer. According to Table 3, the analysis of the results which examines the sources of annoyance due to surrounding noise when at home appears logical and realistic. Majority of participants express their belief that, noise from external sources, sometimes could be annoying. On the other hand, noise from internal sources or neighbor did not cause them annoyance. These findings highlight a positive perception among the majority of participants toward acoustic conditions inside their houses (Table 4).

  • When the participants were asked (if any noise irritated participants when they are in the courtyard, living room, and bedroom.) the result was (70.6%, 73.5%, and 85.3%) of participants ensured that they do not receive any noise when they are in the courtyard, living room and bedroom respectively (Tables 5 and 6), the results and the statistical analysis, indicated that majority of participants were feeling comfortable in these spaces of their traditional house, as the house design has significant role in reducing the propagation of noise.

  • When they were asked, about their sleep quality in the bedroom or living room, the substantial majority of participants, indicated bedroom as a most preferable room for sleeping without noise disturbance (Table 7).

  • And finally, when the participants were asked to evaluate their satisfaction with their traditional house, the result was that most of them were strongly satisfied and wanted to continue living in their houses which comprise 67.6% of participants, by collecting (strongly agree and agree) together. Whereas, 17.6% were not satisfied, hence, these results demonstrated that the acoustic conditions have positively impacted residents (Table 8).

Table 3: The analysis of the result of Q1 & Q2 (Source: Researcher)

thumblarge

Table 4: Statistical analysis of the results of Q3, Q4, and Q5 (Source: Researcher)

thumblarge

Table 5: The results of Q6, Q7, and Q8 (Source: Researcher)

thumblarge

Table 6: The analysis of the results of Q6, Q7, and Q8 (Source: Researcher)

thumblarge

Table 7: The analysis of the results of Q9, Q10 (Source: Researcher)

thumblarge

Table 8: The result of Q11 (Source: Researcher)

thumblarge

4.2. Result from In situ Measurements

The A-weighted Sound pressure Level (LAeq) was measured during the daytime for (1min) duration of time for outside and for (5-6 locations) inside each house, to make a comparison between interior spaces with the outside noise level, to find the role of traditional characteristics of the house in reducing noise transmitting from outdoor to indoors. Table 9 showed the samples and location of each measurement outside and inside the dwellings. And also see Table A1.

Table 9: Detailed sound pressure level in each location in the study houses (Source: Researcher)

thumblarge

The results of the in situ measurements indicated that the average level of sound pressure (LAeq) inside each house decrease dramatically according to their design characteristics. Fig. 7 illustrated the noise level of each house between outside and interior spaces, showed the hierarchy from the highest noise level of outside to the lowest noise level living rooms and bedrooms.

thumblarge

Fig. 7. The hierarchy of noise level between outside and inside (Source: Researcher).

Furthermore, it is found that noise levels inside courtyards, Iwans, kitchen, living room, and bedroom were from “minimum to maximum” (43.4–49 dBA), (41.8–49.8 dBA), (43.0–49.8dBA), (38.6–42.5 dBA), and (34.8–38.9 dBA), respectively, whereas noise level outside houses were from (51.9 dBA–63.3 dBA). The statistical analysis for the in situ measurements in Fig. 8 shows the reduction of noise level from outside to inside the houses, by finding (median) for noise level for each location and space in all cases.

thumblarge

Fig. 8. The statistical analysis for the in situ measurements by finding Median. The hierarchy of sound reduction from outside to the bedroom (Source: Researcher).

4.3. Comparing the Result from the Questionnaire with the In situ Measurement

  • From the result of the questionnaire data and the in situ measurements, we prove the first study hypothesis that there is a significant relationship between acoustic conditions and residents’ satisfaction in traditional houses. In Table 10 and Fig. 9, it showed that with decreasing the sound pressure level, the percentage of satisfaction will increase in each space inside the dwelling.

Table 10: The relationship between the level of sound pressure and inhabitants’ preference in the five study houses, within the specified measurement locations (Source: Researcher)

thumblarge
thumblarge

Fig. 9. The impact of noise level on participant’s satisfaction (Source: Researcher).

In Fig. 9, it demonstrated that with the increasing level of acoustic comfort by reduction of noise level, the level of satisfaction will increase.

  • And from the results from the in situ measurement, such as noise reduction from outside to interior spaces and reducing of noise propagation between adjacent rooms, has proved that the characteristics of traditional house in the city has a significant role in this attenuation of noise in interior spaces. Table 11 showed two dimensional detailed sketches, to analyze and evaluate the design characteristics of the case-1 according to noise sources. Two dimensional sketches used by Erman [23] and Egan [24] for analyzing according to noise source and the receiver.

Table 11: Analyzing traditional characteristics by two-dimensional detailed sketches according to noise sources, case-1, testing indicators from section (2.5) (Source: Researcher)

thumblarge

From the detailed sketches analysis for all cases, the study has found that,

  • The space organization increase acoustic comfort inside the house as noisy areas, such as kitchen bathrooms were located far from the main rooms like bedrooms.

  • These houses with indirect orientation to the street, allowed rooms to be oriented towards the inner courtyard, which caused to receive the minimum noise from outside

  • The houses are rarely having small windows facing the streets, this helps room’s orientations toward inner yards and reduces transmitting outside noise through it.

  • The tall barriers that fencing the courtyards have its significant role in preventing transmission of outdoor noise. As tall barriers increase noise shadow behind it, by breaking the line of sight between the source and receiver.

  • The thickness of walls of these traditional houses are between (40–100 cm) and more that prevent noise propagation in the house.

Hence, this study can prove the second hypothesis concluding that there is a strong relationship between traditional characteristics of dwellings and noise reduction from inside spaces, as well as from outside to inside, and vice versa. The design characteristics of Sulaimani’s traditional houses have the key role in providing acoustic comfort.

5. CONCLUSIONS

The study from the analysis of the results from the practical study (questionnaire form and in situ measurement) concluded that there is a strong relationship between acoustic conditions inside the traditional houses and the inhabitants’ satisfaction toward their traditional houses in the city of Sulaimani. As the acoustic comfort increase in interior spaces by decreasing the noise level, the inhabitant’s satisfaction increases. Furthermore, the study demonstrated that the traditional design of dwellings has a crucial impact on noise reduction whether between the rooms, from outside to inside, or vice versa.

  • The study indicated that the traditional houses in Sulaimani city provide a good satisfactory level of acoustic comfort, and the residents are satisfied with living in this type of dwelling, in term of providing good acoustic conditions in its interior spaces.

  • The most observable and hearable sounds inside the traditional houses are pleasant sounds such as birdsongs and wind in trees, as the sound from inner yards masks the outside noise.

  • There is a hierarchy in noise level between outside and interior spaces of traditional houses, because of the significant role of traditional characteristics in these types of dwelling.

Hence, it is important to take into consideration the impact of acoustic comfort on human’s satisfaction inside dwelling in which they spend most of their time inside. And also, it is important to promote Kurdish traditional design, as it has a key role in reducing noise propagation and providing acoustic comfort by consider its characteristics in contemporary dwellings and buildings in the city.

REFERENCES

[1] N. Vardaxis. ”Evaluation of Acoustic Comfort in Apartment Buildings”, PhD diss., Lund University, Sweden, 2019.

[2] N. D. Dahlan. ”Occupant's Indoor Comfort Perceptions through Thermal, Visual and Acoustic Assessments in Typical Multi-Storey Hostels in Malaysia”. Cardiff University, Wales, 2009.

[3] C. Maschke and H. Niemann, ”Health effects of annoyance induced by neighbour noise,”Noise Control Engineering Journal, vol. 55, no. 3, pp. 348-356, 2007.

[4] B. Y. Raof, S. D. Bahaadin and H. Q. Rasul. ”The thermal performance of vernacular houses as an identity of kurdish traditional architecture”. Kurdistan Journal of Applied Research, vol. 5, no. 1, pp. 236-257, 2020.

[5] A. N. Abtar, A. Q. Ahmed and H. H. Abdulrahman. ”Parametric studies on solar performance of Iwan in traditional houses in sulaymaniyah's old town,”Sulaimani Journal for Engineering Sciences, vol. 6, no. 2, pp. 11-20, 2019.

[6] A. M. A. Qaradaghi. ”The effect of rural building types informing the type of traditional courtyard houses in Sulaimaneyah city”. Journal of the Planner and Development, vol. 25, no. 2, pp. 158-183, 2020.

[7] H. A. Abdulkareem. ”Thermal comfort through the microclimates of the courtyard. A critical review of the Middle-Eastern courtyard house as a climatic response”. Procedia-Social and Behavioral Sciences, vol. 216, pp. 662-674, 2016.

[8] S. Abd Hassan. ”Sound environment of cities:A comparison study for sound environment between modern and traditional urban fabric in Baghdad city”. The Iraqi Journal of Architecture and Planning, vol. 12, no. 27, pp. 24-35, 2013.

[9] Available from:https://www.oxfordlearnersdictionaries.com/definition/english/comfort_1?q=comfort [Last accessed on 2023 Oct 24].

[10] D. E. Commins and A. V. Meier. Classes of Acoustical Comfort in Housing. B. D. Conseils, ed. COMMINS-BBM Sari, Gif-sur-Yvette, 1978.

[11] J. H. Rindel and R. Bright. ”Buildings for the future:The concept of acoustical comfort and how to achieve satisfactory acoustical conditions with new buildings”. Comet-Savior Course noise Control in Buildings-Up-to-date practice, CSTB, Grenoble, France,pp. 16-18, 1995.

[12] J. H. Rindel. ”Ound Insulation in Buildings”. CRC Press, United States, 2018.

[13] R. A. Mahmood and S. Hussain. ”The information technology effmts on acoustic comfort in exhibition halls by using. Ecotect”program”. Iraqi Journal of Architecture and Planning, vol. 9, no. 19, pp. 384-410, 2010.

[14] S. V. Szokolay. ”Introduction to Architectural Science”. Architectural Press, An imprint of Elsevier Science, Netherlands, 2004.

[15] Z. Maekawa, J. Rindel and P. Lord. ”Environmental and Architectural Acoustics”. 2nd ed. CRC Press, London, 2010, 376.

[16] E. Mommertz. ”Acoustics and Sound Insulation:Principles, Planning, Examples”. De Gruyter, Germany, 2009.

[17] ?Castro R. ”Proceedings, Invisible Places Sounding Cities-Sound, Urbanism and Sense of Place”. Sonic Arts Research Centre, Viseu, Portugal, 2014.

[18] C. J. Yu. Environmentally Sustainable Acoustics in Urban Residential Areas. Doctoral Dissertation, University of Sheffield, England, 2008.

[19] European Environment Agency. ”Noise in Europe 2014”. Publications Office of the European Union, Luxembourg, 2014.

[20] Available from:https://www.oxfordlearnersdictionaries.com/definition/english/annoyance?q=annoyance [Last accessed on 2023 Oct 24].

[21] M. Basner, W. Babisch, A. Davis, M. Brink, C. Clark, S. Janssen and S. Stansfeld, ”Auditory and non-auditory effects of noise on health”. The Lancet, vol. 383, no. 9925, pp. 1325-1332, 2014.

[22] M. Navai and J. A. Veitch. ”Acoustic Satisfaction in Open-Plan Offices:Review and Recommendations”. National Research Council of Canada, Ottawa, 2003.

[23] Ministry of Construction. ”Urban and Rural Housing Standards in Iraq. University of Bagdad, Planning Consultant Bureau, Iraq, 2018.

[24] E. H. Idrobo-Ávila, H. Loaiza-Correa, L. V. Noorden, F. G. Muñoz-Bolaños and R. Vargas-Cañas. ”Different types of sounds and their relationship with the electrocardiographic signals and the cardiovascular system-review. Frontiers in Physiology, vol. 9, pp. 525, 2018.

[25] M. Ermann. ”Architectural Acoustics Illustrated”. John Wiley and Sons, New Jersey, 2015.

[26] M. D. Egan. ”Architectural Acoustics”. J. Ross Publishing, New York, 2007.

[27] D. Volek and C. Dickinson. ”TN#38 Built-in Soundproofing with Clay Masonry Walls”. The Clay Brick Association, South Africa, 2020. Available from:https://www.claybrick.org.za/tn-38-built-soundproofing-clay-masonry-walls [Last accessed on 2023 Oct 17].

[28] F. Ragette. ”Traditional Domestic Architecture of the Arab Region”. Edition Axel Menges, London, 2003.

[29] S. M. Ettouney and F. R. Fricke. ”Courtyard acoustics”. Applied Acoustics, vol. 6, no. 2, pp. 119-132, 1973.

[30] B. N. Muhealddin and. A. F. Ali. ”The impact of architectural conservation policies on the continuance of heritage buildings-Study of conservation in Sulaymaniyah governorate”. Sulaimania Journal for Engineering Sciences, vol. 6, no. 4, pp. 71-85, 2019.

[31] A. M. A. Qaradaghi. ”Documentation of old Neighborhoods and Buildings in Kurdistan Sulaymaniyah City. 1st ed. CITYLAB, Sulaimani, 2022, 664.

Appendices

Appendices A

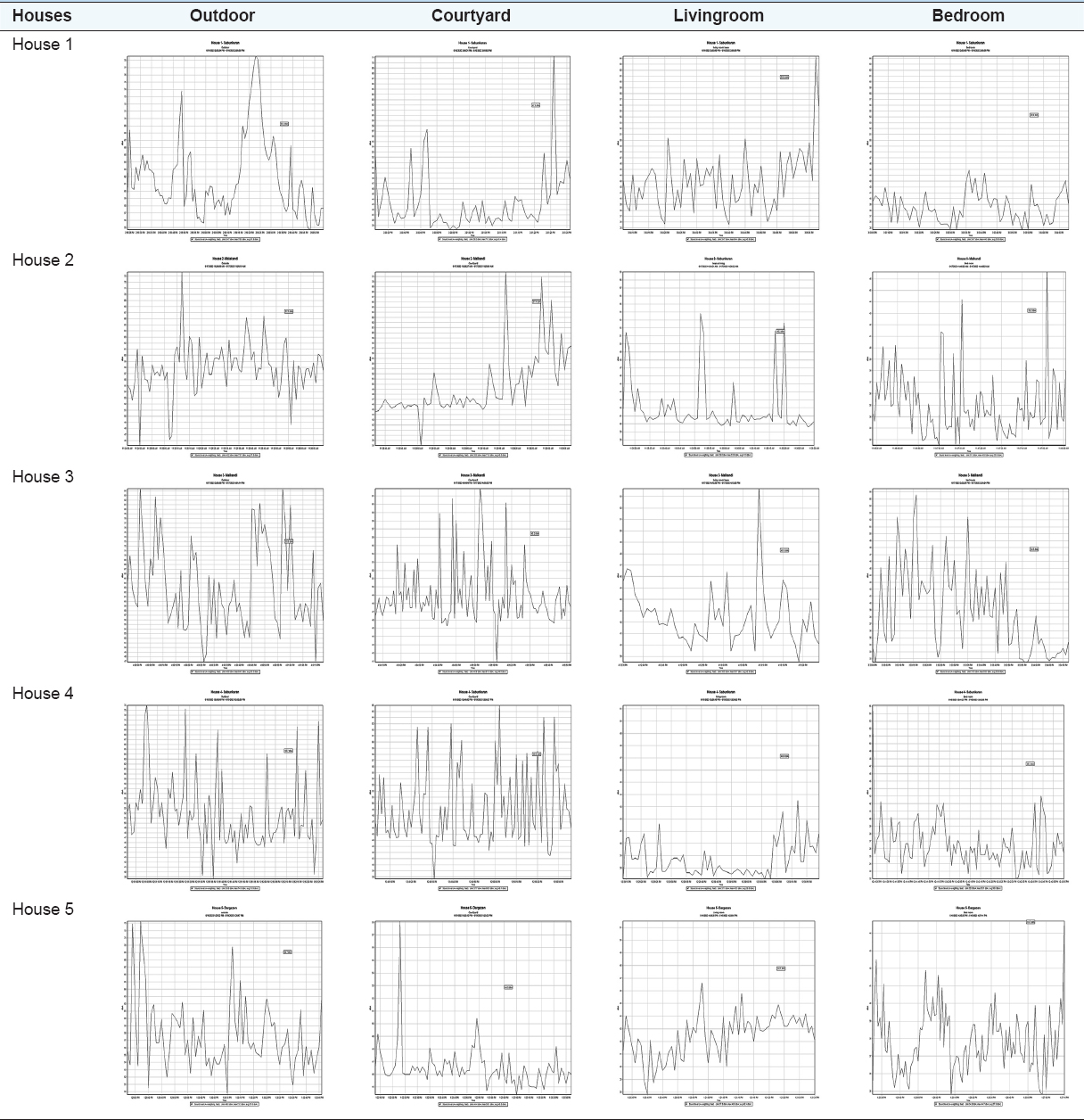
Table A1: Sound pressure level graphs for case studies, for the three main locations inside the house and the outside location:

thumblarge

Appendices B

Table B1: Questionnaire design

thumblarge