Enhancing COVID-19 Detection Accuracy: Optimal Gene Combinations, Kit Performance, and Reliable Detection Intervals

Dara A. Tahir1, Sehand Kamaludeen Arif2

1,2Department of Biology, University of Sulaimani, Al sulaimaniyah, Iraq

Corresponding author’s e-mail: Dr. Sehand Kamaludeen Arif, Department of Biology, University of Sulaimani, Al sulaimaniyah, Iraq. E-mail: sehand.arif@univsul.edu.iq
Received: 07/12/2023 Accepted: 20/12/2023 Published: 11/03/2024
DOI: 10.21928/uhdjst.v8n1y2024.pp84-92


ABSTRACT

A significant challenge and threat to public health have been created by the COVID-19 pandemic for the entire global population. The study aimed to compare the SARS-CoV-2 RNA detection capabilities of available primers and probes to identify the most reliable, efficient, and affordable method. From 200 previously detected samples of SARS CoV-2, 94 samples were selected randomly and used for the optimization of our primers and probes. We compared our results with two kits that have been approved by the health authority. In addition, we evaluated the detectability of each gene. The study compared the diagnostic performance of different gene combinations for COVID-19 detection using kits A and B and a novel approach combining RdRp, N, and E genes. Results showed that the combined approach exhibited superior discriminatory power, particularly with the inclusion of the E gene, boasting area under the curve (AUC) values of 83.3%, 79.1%, and 93.7% for the respective genes. Kit B, with Orf1ab and N genes, outperformed Kit A (RdRp and S genes), with AUC values of 81.2% and 90.6% versus 80.2% and 75%, respectively. The chart representation highlighted gene detection frequencies across various cycle threshold (Ct) ranges, demonstrating robust identification within the 20.1–30 Ct range across all kits and genes, emphasizing the reliability of detection within specific intervals. Combining RdRp, N, and E genes showed the highest accuracy for COVID-19 diagnosis, particularly with the E gene. Detection was most reliable within the 20.1–30 Ct range across all gene combinations and kits.

Index Terms: SARS-CoV-2, RdRp Gene, E Gene, N Genes, Kit Comparison

1. INTRODUCTION

Coronaviruses cause various illnesses from common colds to severe diseases such as syndrome coronavirus 2 (SARS-CoV) and COVID-19. These viruses carry a single-stranded RNA genome ranging from 26 to 32 kb. They are classified into four genera – Alpha, Beta, Gamma, and Delta, and they infect both humans and animals, with around 30 species found across human, mammal, and bird samples. Human coronaviruses fall into alpha and beta species [1]. Following 229E, NL63, OC43, HKU1, Middle East Respiratory Syndrome (MERS)-CoV, and the initial SARS-CoV outbreaks, SARS-CoV-2 marks the eighth known coronavirus to impact human populations [2].

The SARS-CoV outbreak in 2002–2003 stemmed from class B beta-coronaviruses originating from bats, whereas the MERS resulted from a class C beta-coronavirus linked to camels in 2012 and beyond [3]. The pneumonia case identified in Wuhan, China, in late December 2019, initially attributed to a coronavirus due to respiratory symptoms, was designated as severe acute respiratory SARS-CoV-2 by the World Health Organization [4], [5].

The novel virus’ genomic sequence is 96.2% identical to that of the bat. In Wuhan, China, researchers discovered the SARS-related coronavirus (SARSrCoV; RaTG13), which contains a genome that is not entirely identical to either the SARS-CoV (about 79%) or the MERS-CoV (about 50%) genomes [6], [7].

Developing specific primers and probes in regions with minimal similarity to other viruses is crucial to avoid misidentification of SARS-CoV-2 [8]. As the most sensitive and specific assay, real-time reverse transcription-quantitative polymerase chain reaction (RT-qPCR) is the “gold standard” diagnostic technique for the detection of SARS-CoV-2 infection [9].

SARS-CoV-2 displays the typical genome organization of the β-coronaviruses. There are 14 functional open reading frames in the genome, including two noncoding regions at each end and other areas that code for structural, accessory, and nonstructural proteins [10].

This study aims to detect SARS-CoV-2 using various probes and primers that target different genes (such as RdRp, E, and N genes) through reverse transcription real-time and conventional PCR assays. The goal is to compare the efficacy of these primers/probes in detecting SARS-CoV-2 RNA and identify the most accurate, speedy, and cost-effective detection method.

2. MATERIALS AND METHODS

2.1. Sample Collection

Between September 2020 and September 2021, ninety-four samples were selected randomly from a total of 200 samples (Nasopharyngeal swabs) of SARS-CoV-2 previously gathered by Shahid Tahir Ali Wali Bag laboratory in Sulaimani City/Iraqi Kurdistan Region. The (94) selected samples were used for optimization of our primers and probes and for comparing the obtained results with two available kits (AddMedi/South Korea and AeHealth/UK) proved by health authority and evaluation of detectability of each gene.

2.2. RNA Extraction

RNA extractions were carried out using an Addprep viral nucleic acid extraction kit according to the manufacturer’s protocol (AddBio Company/South Korea).

2.3. Storage of the RNA

To avoid degradation, eluted RNA was stored at −80°C after the RNA extraction process was completed.

2.4. Designing of primers and Probes for RT-qPCR

Based on the sequencing analysis, four sets of primers and probes were designed as follows: One set of forward primers, reverse primer, and dual modified fluorescence probe for each of RdRp, N, E, and GAPDH gene for internal control detection. Amplicons were selected for RdRp, N, and E genes by Primer-BLAST, which were (110, 110, and 80 bp), respectively, and in silico analyzed using NCBI Primer BLAST to exclude miss annealing with other respiratory viruses. In silico predictions also demonstrated that those primers do not bind to non-specific targets for human, bacterial, fungal, and apicomplexan.

The lyophilized form of primers and probes was produced by a humanized genomic Macrogen company from South Korea (Tables 1 and 2).

TABLE 1: Primers and probes for real-time polymerase chain reaction (RdRp, N, E gene)

thumblarge

TABLE 2: Primers and probes for real-time polymerase chain reaction (internal control GAPDH)

thumblarge

2.5. RT-qPCR Procedure

Samples containing RNA were subjected to a reverse transcription step to convert RNA into cDNA using reverse transcriptase enzymes. The reaction mixes, containing the designed primers, probes, nucleotides, and specialized polymerase enzymes, were prepared and inserted into the (applied biosystems RT-qPCR) instrument. The instrument cycled through denaturation, annealing, and extension stages, amplifying the target sequences exponentially. Fluorescence emitted during each cycle was monitored, with the software recording and analyzing the signal, determining the initial amount of viral genetic material present in the samples based on the Ct values. Results were interpreted by comparing Ct values against known standards or controls to ascertain the presence and approximate quantity of SARS-CoV-2 genetic material in the samples.

2.6. Statistical Analysis

Statistical analysis was conducted using two software programs: IBM SPSS (Version 26) and RStudio (Version 1.1.463). These programs were employed to perform various statistical tests (area under the curve [AUC], z – test, and P-value) and analyses, ensuring a comprehensive and rigorous approach to data analysis.

2.7. AUC

AUC refers to the graphical representation of a receiver operating characteristic (ROC) curve. In this context, it reflects the assay’s ability to distinguish between positive and negative samples based on Ct values. A higher AUC value indicates better discrimination between these samples, signifying the test’s accuracy in correctly identifying the presence or absence of SARS-CoV-2 genetic material. This statistical measure helps assess the overall performance and reliability of the PCR assay by quantifying its ability to differentiate between infected and non-infected samples based on Ct values, contributing crucial insights into the assay’s diagnostic potential.

Z-test: Z-values represent the number of standard deviations; a data point is from the mean. In this case, the more negative the Z-value, the lower the Ct value, indicating higher viral RNA levels or better detection sensitivity.

P-value: The low P-values indicate high statistical significance. It suggests strong evidence against the null hypothesis, reinforcing the reliability of the observed differences.

3. RESULTS

3.1. Detectability of Primers and Probes in Clinical Samples

Out of 200 previously identified SARS-CoV-2 samples, 94 were randomly chosen for the optimization of our primers and probes. The obtained findings were compared with two health authority-endorsed kits to evaluate the detectability of each gene: Kit A with CE and IVD certificate from South Korea with detection channel HEX (RdRp gene) and FAM (S gene), while Kit B with CE and IVD certificate from United Kingdom with detection channel FAM (ORF1ab gene) and VIC (N gene) and the current designed primers as well as probes FAM (RdRp), HEX (N), ROX (E), and CY5 (IPC).

Kit A, which consists of RdRp and S genes, demonstrated an AUC of 80.2% and 75%, respectively. This indicated that Kit A’s performance, as measured by the AUC, is 80.2% for one gene and 75% for the other. The AUC value served as a metric for the ability of this kit to distinguish between positive and negative COVID-19 samples. Higher AUC values generally indicated better discriminatory power.

In contrast, Kit B, comprising the Orf1ab and N genes, exhibited AUC values of 81.2% and 90.6%. These AUC values suggested that Kit B is quite effective, with the first gene achieving an AUC of 81.2% and the second gene reaching an even higher AUC of 90.6%. The higher AUC for the N gene in Kit B may indicate its higher accuracy in diagnosing COVID-19 cases. The approach of the current study, which combines the RdRp, N, and E genes, achieved the AUC values of 83.3%, 79.1%, and 93.7%, respectively. These AUC values demonstrated the effectiveness of this approach when using different gene combinations. The AUC of 93.7% for the E gene suggested that it may be a particularly valuable component for COVID-19 diagnosis within this approach.

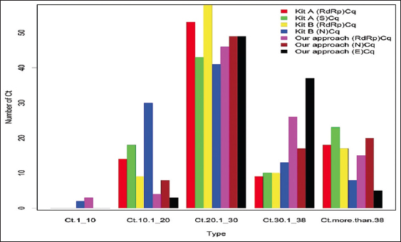
To visualize the data and facilitate a more comprehensive understanding, the information is presented in a bar chart (Fig. 1).

thumblarge

Fig. 1. The X-axis of the chart represents the number of samples tested, while the y-axis indicates the Ct values. Ct values are often used in polymerase chain reaction tests and indicate the number of amplification cycles required to detect a specific gene target in a sample. Gene detection across Ct value ranges in various test kits. The bar chart visually presents gene detection within specific Ct value ranges across different test kits and methodologies, it’s important to note that the statistical significance of differences in detection rates was assessed separately through appropriate statistical tests. These tests, including but not limited to t-tests, ANOVA, or non-parametric equivalents, were conducted to evaluate the significance of differences in detection rates between the various gene targets across different kits and methodologies. The results of these statistical analyses provide quantitative insights into the observed differences in detection rates, complementing the visual representation provided by the bar chart. Ct: Cycle Threshold.

The chart allows for a visual comparison of how the AUC values for Kit A, Kit B, and the current approach with various gene combinations vary with the number of samples tested and their corresponding Ct values. This comprehensive comparison of kits and gene combinations could be useful in making informed decisions about which testing method may be the most suitable for COVID-19 diagnosis, taking into account both accuracy and scalability based on the number of samples. It appeared that the current approach with three genes (RdRp, N, and E) showed the highest AUC values, which are 83.3%, 79.1%, and 93.7%, respectively. These AUC values are indicative of the accuracy and discriminatory power of the diagnostic method.

Comparatively, Kit B, which combines Orf1ab and N genes, has AUC values of 81.2% and 90.6%. Kit A, with RdRp and S genes, has AUC values of 80.2% and 75%. Based on these AUC values alone, it appeared that the current approach with three genes was the most effective in diagnosing COVID-19, especially when the E gene is included which appeared to contribute significantly to the accuracy of the test, as reflected in its higher AUC value of 93.7%.

In the comparison between kits with two genes (Kit A and Kit B), Kit B, with AUC values of 81.2% and 90.6%, seemed to be more effective than Kit A, which has AUC values of 80.2% and 75%.

The Ct value ranges are color coded to depict the distribution of gene detection levels. Notably, the range of 20.1–30 exhibits the highest frequency of gene detection across all kits and genes, indicating consistent and reliable identification within this Ct range. The chart highlights the varying detection levels among different genes and kits, emphasizing the robustness of detection within specific Ct value intervals.

The Z-test results indicate significant differences (P < 0.0001) among gene targets tested within Kit A, B, and our approach. The E gene exhibits the lowest Z-value of −1.49, followed closely by the N gene (kit B) with a Z-value of −1.46. These findings suggest that E gene demonstrates the highest sensitivity in detecting COVID-19.

4. DISCUSSION

Since the first record of the coronavirus disease 2019 (COVID-19) pandemic, real-time RT-qPCR laboratory testing to identify severe acute respiratory SARS-CoV-2 has been crucial in limiting the spread of the virus [11]. The World Health Organization developed and made a number of RT-qPCR assays accessible to the general public not long after the viral genome sequences became available. The E gene, RdRp gene, ORF1ab gene, and N gene are only a few of the target genes within the viral genome that was used to select the primer and probe sequences for these experiments. Based on these primer and probe sequences, numerous commercial and laboratory-developed tests for SARS-CoV-2 detection were created. Several mutational events have resulted from the widespread sustained person-to-person transmission of SARS-CoV-2, some of which may alter the sensitivity and specificity of existing PCR assays [12]. The gold standard for diagnosing COVID-19 is rRT-PCR, but it has been noted that false-positive and false-negative samples may cause issues. Regarding which of the goals is most important for diagnosis, there are differing viewpoints. Testing with three targets is more expensive and time-consuming than testing with two targets. The conclusion drawn from our study is based on a comparative analysis of two different assay methods: one that detects N and RdRp genes (utilizing commercial kits) and another that detects N, E, and RdRp genes (our manual 3-gene method). While it’s true that the comparison involves a 3-gene method versus a 2-gene method, the primary focus is on evaluating the sensitivity difference between these two approaches rather than a direct comparison of equal gene sets. Our conclusion is derived from the observation that the assay detecting N, E, and RdRp genes consistently yielded more positive detections across the tested samples compared to the assay detecting only N and RdRp genes. This difference in sensitivity forms the basis of our conclusion that the 3-gene assay is more sensitive than the 2-gene assay.

Barjaktarović et al. revealed that the new variations of SARS-CoV-2 are continuously found since it is an RNA virus that mutates more frequently than DNA viruses. Sequences that are less mutable are the focus of diagnostic testing. Yet, it has been discovered that mutations in the N gene and the RdRp gene increase the possibility of false-negative results, reduce test sensitivity, and result in diagnostic errors [13]. Because of the E gene’s high stability, it is possible to develop new mRNA vaccines against illnesses caused by newer SARS-CoV-2 strains. Moreover, known coronaviruses have highly conserved E and M gene sequences. They are less likely to experience mutations than the S gene, making the E gene a suitable diagnostic target with a high level of specificity. It is vital to use diagnostic tests that target less changeable genes to identify people infected with present and future variations of the SARS-CoV-2 virus since new SARS-CoV-2 variants are continually developing and complicating COVID-19 testing [13].

The quantitation cycle, which is the primary outcome of qPCR, is the cycle in which fluorescence can be observed. Lower Ct values indicate higher starting copy numbers of the target. This is the fundamental tenet of the quantitative strategy offered by real-time PCR. Previous researchers have recorded comparisons of the effectiveness of various commercial PCR kits for the RT-qPCR diagnosis of SARS-CoV-2 [14], [15], [16], [17].

Lu et al. in 2020, compared and evaluated the effectiveness of Sansure and BioGerm, which are both commonly used in Liuzhou people’s Hospital in Guangxi, China, and had corresponding effectiveness levels of 80 and 94% [8]. On the other hand, Eberle et al in 2021 examined nine RT-qPCR kits that were being utilized in the German city of Bavaria to diagnose viruses. Most of them achieved sensitivity levels of 90–100%, however, two kits claimed efficacy levels of 49% (Fast Track Diagnostics Kit) or 62% (Wells Bio, Inc.) with the greatest proportion of false negatives. Hence, when it comes to the identification of viral variations, kits with more than one target gene are less likely to produce false negative results than tests with a single genetic target [18], [19].

These studies recommended evaluating the effectiveness of commercial RT-qPCR kits used locally to analyze COVID-19. In fact, a poor SARS-COV-2 diagnosis could encourage the future spread of this and other infectious diseases. No standardization, comparison, or efficacy investigations using commercial RT-qPCR kits used in the mass diagnosis of local SARS-CoV-2 or the detection of developing variants have been reported for Sulaimani, the city with a high number of PCR tests performed per thousand residents.

The current study announces the first clinical validations and comparison of two commercially available RT-qPCR Kits for detecting SARS-CoV-2 Kit A and Kit B to primers and probes we designed. For the detection of SARS-CoV-2 genes and diagnosis, the Ct and the relative fluorescence units acquired from their RT-qPCR reactions exhibited significant disparities in the total RNA volume. These differences were significant because they significantly affected the detection of COVID-19-positive cases.

The evaluation of different testing kits and gene combinations in the context of COVID-19 diagnostics, as measured by AUC values, offered crucial insights into their accuracy and discriminatory power [20]. AUC values, representing the ability to distinguish between positive and negative COVID-19 samples, showcased varying performance among the tested kits and gene combinations. Notably, higher AUC values typically indicated better discriminatory ability, serving as a fundamental metric for assessing the efficacy of these diagnostic methods. Comparing Kit A and Kit B revealed intriguing nuances in their performance. While Kit A demonstrated AUC values of 80.2% for RdRp and 75% for the S gene, Kit B exhibited a relatively higher accuracy, with AUC values of 81.2% for Orf1ab and an impressive 90.6% for the N gene. This comparison suggested that Kit B, particularly the N gene within it, displayed a superior capacity in accurately diagnosing COVID-19 cases compared to Kit A.

The findings of this study underscore the pivotal role of gene selection in optimizing the accuracy of COVID-19 diagnosis. Our results revealed compelling evidence supporting the superior performance of the combined RdRp, N, and E genes, showcasing robust discriminatory power with notable area under the curve (AUC) values. Particularly striking was the outstanding 93.7% AUC value for the E gene within this multi-gene approach, surpassing individual gene performances within both Kit A and Kit B. The statistically significant differences (p <0.0001) observed in AUC values among these genes signal the potential for the E gene as a cornerstone in enhancing diagnostic precision, suggesting its superiority over RdRp and N genes in our tested context. The remarkably high AUC for the E gene highlights its promise as a key component in amplifying the reliability and accuracy of COVID-19 diagnosis, offering a potential avenue for refining testing strategies and elevating diagnostic efficacy (Fig. 2). The bar chart provided a clear overview of gene detection across various Ct value ranges for different genes tested using multiple kits (Kit A, Kit B) and a distinct approach. It vividly showed the frequency of gene detection within each Ct range, presenting a color-coded comparison across kits and genes. One striking observation was the consistency in gene detection within the 20.1–30 Ct range, which emerged as the most reliable across all kits and genes. This range consistently exhibited the highest frequency of gene detection, implying a robust and dependable identification within this specific Ct interval. Moreover, the chart highlighted the disparities in detection levels among different genes and kits. It underscored the importance of considering both the gene being targeted and the testing methodology, as they influence the detection efficacy within specific Ct value intervals (Fig. 1).

thumblarge

Fig. 2. Line graph shows the performance of different testing kits and our approach using specific genes evaluated in the context of COVID-19 diagnostics. The assessment is based on the calculation of the area under the curve values, which are a common measure of the accuracy of diagnostic tests. The comparison involved three different sets of genes: Kit A (RdRp and S), Kit B (Orf1ab and N), and our approach combining RdRp, N, and E genes.

thumblarge

The Z-values reflect the deviation from the mean and indicate the sensitivity of each target in detection. Lower Z-values suggest a higher abundance or greater ease of detection. Notably, the E gene Ct stands out with the lowest Z-value of −1.49, followed closely by Kit B N Ct with a Z-value of −1.46. These values imply a potentially heightened sensitivity for detecting COVID-19 viral RNA in these specific gene regions. Moreover, all recorded P-values are extremely low (0.00001), signaling strong statistical significance. This suggests substantial evidence against the null hypothesis and underscores the reliability of the observed differences in sensitivity among gene targets.

The practical implications of these findings extend to the clinical realm of COVID-19 diagnostics. The superiority of the current approach suggested a promising avenue for enhancing accuracy in detecting COVID-19 cases, particularly emphasizing the significance of incorporating the E gene in diagnostic methodologies. The insights gained from this study advocate for the critical consideration of gene combinations in optimizing diagnostic accuracy, potentially influencing decision-making in clinical settings.

Despite the significance of these findings, there are inherent limitations that warrant consideration. Factors such as sample size, variations in testing methodologies, or specific population characteristics might have influenced the observed results. Therefore, future research endeavors should focus on expanding sample sizes, validating findings in diverse populations, as well as exploring additional gene combinations to further solidify these findings and translate them into clinically applicable solutions.

In conclusion, the assessment of AUC values among different testing kits and gene combinations elucidated a hierarchy of effectiveness in COVID-19 diagnostics. This approach, particularly with the inclusion of the E gene, emerges as a highly promising diagnostic method with enhanced accuracy, laying a foundation for improved COVID-19 testing methodologies and potentially contributing to more effective disease management strategies. The most dependable detection occurred within the 20.1–30 Ct range across various gene combinations and testing kits.

5. ACKNOWLEDGMENTS

We would like to thank the Kurdistan Regional Government, the Ministry of Higher Education and Scientific Research as well as the Presidency of Sulaimani University.

6. ETHICS APPROVAL

The study was approved by the Ethics Committee of the Biology Department, College of Science, University of Sulaimai (protocol code UoS-Sci-Bio 0010/September/19/2023

7. CONFLICTS OF INTERESTS

The authors declared that they have no competing interests.

8. AUTHOR CONTRIBUTIONS

Conceptualization, S.A; methodology, S.A. and D.A; software, Z.H.; validation, S.A., D.A., and Z.H.; formal analysis, D.A. and Z.H; investigation, D.A.; resources, D.A and Z.H.; data curation, S.A.; writing—original draft preparation, D.A.; writing—review and editing, S.A and Z.H.; visualization, D.A.; supervision, S.A. All authors have read and agreed to the published version of the manuscript.

9. FUNDING

This research received no external funding.

REFERENCES

[1] Y. Chen, Q. Liu and D. Guo. “Emerging coronaviruses:Genome structure, replication, and pathogenesis“. Journal of Medical Virology, vol. 92, no. 4, pp. 418-423, 2020.

[2] R. A. Khailany, M. Safdar and M. Ozaslan. ”Genomic characterization of a novel SARS-CoV-2“. Gene Reports, vol. 19, 100682, 2020.

[3] M. J. Loeffelholz and Y. W. Tang. ”Laboratory diagnosis of emerging human coronavirus infections-the state of the art“. Emerging Microbes and Infections, vol. 9, no. 1, pp. 747-756, 2020.

[4] A. E. Gorbalenya and S. C. Baker. ”The species severe acute respiratory syndrome-related coronavirus:classifying 2019-nCoV and naming it SARS-CoV-2“. Nature Microbiology, vol. 5, no. 4, pp. 536-544, 2020.

[5] C. Sohrabi, Z. Alsafi, N. O'Neill, M. Khan, A. Kerwan, A. Al-Jabir, C. Iosifidis and R. Agha. ”World health organization declares global emergency:A review of the 2019 novel coronavirus (COVID-19)“. International Journal of Surgery, vol. 76, no. 1, pp. 71-76, 2020.

[6] S. U. Rehman, L. Shafique, A. Ihsan and Q. Liu. ”Evolutionary trajectory for the emergence of novel coronavirus SARS-CoV-2“. Pathogens, vol. 9, no. 3, 240, 2020.

[7] L. T. Phan, T. V. Nguyen, Q. C. Luong, T. V. Nguyen, H. T. Nguyen, H. Q. Le, T. T. Nguyen, T. M. Cao and Q. D. Pham. ”Importation and human-to-human transmission of a novel coronavirus in Vietnam”. New England Journal of Medicine, vol. 382, no. 9, pp. 872-874, 2020.

[8] R. Lu, X. Zhao, J. Li, P. Niu, B. Yang, H. Wu, W. Wang, H. Song, B. Huang., &N. Zhu. “Genomic characterisation and epidemiology of 2019 novel coronavirus:Implications for virus origins and receptor binding”. The Lancet, vol. 395, no. 10224, pp. 565-574, 2020.

[9] A. Banko, G. Petrovic, D. Miljanovic, A. Loncar, M. Vukcevic, D. Despot and A. Cirkovic. “Comparison and sensitivity evaluation of three different commercial real-time quantitative PCR Kits for SARS-CoV-2 detection”. Viruses, vol. 13, no. 7, 1321, 2021.

[10] Y. Lu, L. Li, S. Ren, X. Liu, L. Zhang, W. Li and H. Yu. “Comparison of the diagnostic efficacy between two PCR test kits for SARS-CoV-2 nucleic acid detection”. Journal of Clinical Laboratory Analysis, vol. 34, no. 10, p. e23554, 2020.

[11] V. M. Corman, O. Landt, M. Kaiser, R. Molenkamp, A. Meijer, D. K. Chu and T. Bleicker. “Detection of 2019 novel coronavirus (2019-nCoV) by real-time RT-PCR”. Eurosurveillance, vol. 25, no. 3, 2000045, 2020.

[12] M. Y. Wang, R. Zhao, L. J. Gao, X. F. Gao, D. P. Wang and J. M. Cao. “SARS-CoV-2:Structure, biology, and structure-based therapeutics development”. Frontiers in Cellular and Infection Microbiology, vol. 10, pp. 5∖9, 2020.

[13] I. Barjaktarović, M. Y. Wang, R. Zhao, L. J. Gao, X. F. Gao, D. P. Wang and J. M. Cao. “Diagnosing COVID-19:Diagnostic importance of detecting E gene of the SARS-CoV-2 genome”. Future Virology, vol. 18, no. 1, pp. 31-38, 2023.

[14] P. B. Van Kasteren, B. Van der Veer, S. Van Den Brink and L. Wijsman. “Comparison of commercial RT-PCR diagnostic kits for COVID-19”. Journal of Clinical Virology, vol. 128. p. 104412.

[15] Z. Iglói, M. Leven, Z. A. K. Abou-Nouar and B. Weller B. “Comparison of commercial realtime reverse transcription PCR assays for the detection of SARS-CoV-2”. Journal of Clinical Virology, vol. 129, 104510, 2020.

[16] A. Tastanova, C. I. Stoffel, A. Dzung, P. F. Cheng, E. Bellini, P. Johansen, A. Duda, S. Nobbe, R. Lienhard, P. P. Bosshard and M. P. Levesque. ”A comparative study of real-time RT-PCR-based SARS-CoV-2 detection methods and its application to human-derived and surface swabbed material“. The Journal of Molecular Diagnostics, vol. 23, no. 7, pp. 796-804, 2021.

[17] J. Zhao, Y. Zhang and B. Cao. ”Comparison of the performance of Six SARS-CoV-2 nucleic acid detection kit in positive samples using RT-PCR“. Journal of Clinical Chemistry and Laboratory Medicine, vol. 4, no. 3, 170, 2021.

[18] U. Eberle, C. Wimmer, I. Huber, A. Neubauer-Juric, G. Valenza and N. Ackermann, A. Sing and Bavarian SARS-CoV-2-Public Health Laboratory Team. “Comparison of nine different commercially available molecular assays for detection of SARS-CoV-2 RNA”. European Journal of Clinical Microbiology and Infectious Diseases, vol. 40, pp.1303-1308, 2021.

[19] D. Kalita and S. Deka. ”Effectiveness of different gene-target strategies for SARS-CoV-2 screening by RT-PCR and other modalities“. Journal of Medical Diagnostic Methods, vol. 9, no. 4, 298, 2020.

[20] C. Hernández, C. Florez, S. Castañeda, N. Ballesteros, D. Martínez, A. Castillo, M. Muñoz, S. Gomez, A. Rico, L. Pardo, A. Paniz-Mondolfi and J. D. Ramírez. ”Evaluation of the diagnostic performance of nine commercial RT-PCR kits for the detection of SARS-CoV-2 in Colombia“. Journal of Medical Virology, vol. 93, no. 9, pp. 5618-5622, 2021.