Blood storage impacts on the hematological indices of healthy subjects and patients with iron-deficiency anemia and beta-thalassemia – A comparative study

Mudhafar Mohamed M. Saeed

Department of Anesthesia, Sulaimani Technical Institute, Sulaimani Polytechnic University, Sulaimani, Kurdistan Region, IRAQ

Corresponding author’s e-mail: Mudhafar Mohamed M.Saeed , PhD. Clinical Biochemistry, Lecturer, Department of Anesthesia, Sulaimani Technical Institute, Sulaimani Polytechnic University, Sulaimani, Kurdistan Region, IRAQ. E-mail: Mudhafer.saed@spu.edu.iq
Received: 09-12-2023 Accepted: 17-02-2024 Published: 10-03-2024
DOI: 10.21928/uhdjst.v8n1y2024.pp78-83


ABSTRACT

Background: There are scientific evidence confirmed specific changes in blood cell counts, reducing the efficacy and feasibly the safeness of blood transmission when storing blood at 4°C for 5 weeks or more.

Objectives: The study aimed to investigate the effects of stored blood obtained from healthy subjects and patients with anemia due to iron deficiency and beta-thalassemia, on hematological indices.

Materials and Methods: A total of 37 participants, consisting of 14 healthy subjects, 13 patients with iron-deficiency anemia, and 10 patients with beta-thalassemia minor, were recruited from Hiwa Hospital between November 2021 and July 2022. Blood samples were obtained from the participants and stored at 4°C for 5 weeks. Hematological indices, including red cell distribution, platelet distribution width, and mean platelet volume, were determined using a hematology analyzer at weekly intervals.

Results: Blood storage caused significantly increased mean values of hematological indices among healthy subjects as well as among patients with iron-deficiency anemia and beta-thalassemia, although the pattern of changes was differed.

Conclusions: The storage of whole blood significantly increased hematological indices, showing variations in both healthy subjects and patients with iron-deficiency anemia and beta-thalassemia. The pattern of raise in these hematological indices is specific to iron-deficiency anemia and thalassemia when compared with healthy subjects.

Index Terms: Blood Storage, Iron-deficiency Anemia, Thalassemia, Hematological Indices

1. INTRODUCTION

Blood preservation at 4°C for a few weeks may compromise the safety and efficacy of the stored blood as a therapeutic intervention for managing patients experiencing blood loss, as blood platelets maintain their functionality when stored in whole blood at 4°C for up to 15 days [1]. Similarly, a separate investigation revealed that the aggregation capacity of blood platelets remains unaffected when the entire blood is stored at 20°C for up to 21 days [2]. Utilizing filtration before storage led to a reduction in white blood cells and the preservation of blood platelet function by eliminating bioactive substances derived from white cells [3]. The storage of whole blood from individuals with sickle cell anemia for 5 weeks resulted in a noteworthy increase in the lymphocyte-to-neutrophil ratio [4]. Furthermore, while blood storage does not significantly alter the deformability index of red cells, it does bring about a significant change in red distribution width [5]. In terms of cell counts, non-leukoreduction blood storage for 5 weeks at 4 ± 2°C significantly decreased white cell and platelet counts, elevated echinocytes, and maintained an unchanged lymphocyte count during storage [6]. Various hematological indices, such as red distribution width, mean platelet volume, platelet distribution width, neutrophil-to-lymphocyte ratio, and platelet-to-lymphocyte ratio, serve as biomarkers for diverse medical conditions, including inflammation, cardiovascular events, and chronic diseases like diabetes mellitus [7], [8], [9], [10]. Transfusion of 7-day stored blood in transfusion-dependent thalassemic patients associated with an increase in hematological and biochemical markers related to RBC lysis and inflammation [11]. Consequently, exploring the impact of blood storage derived from healthy individuals, as well as those with anemia due to iron deficiency or beta-thalassemia, on these hematological indices is the main goal for the current study.

2. MATERIALS AND METHODS

The current work was carried out in the Department of Pharmacy at the Technical Institute of Sulaimani, Sulaimani Polytechnic University, Kurdistan Region of Iraq. Participants were recruited from Hiwa Hospital in Sulaimani, from November 2021 to July 2022. Inclusion criteria comprised individuals diagnosed with iron-deficiency anemia, those with beta-thalassemia minor, and healthy subjects who designated as negative controls. A total of 14 healthy subjects (median age 34 years), 13 patients with iron-deficiency anemia (median age 37 years), and 10 patients with beta-thalassemia (median age 31 years) were included in the study. Exclusion criteria encompassed individuals who had received a blood transfusion within 4 weeks of the study, those employing non-steroidal and steroidal anti-inflammatory agents, anabolic drugs, pregnant, and breast-feeding women. Iron-deficiency anemia diagnosis was confirmed by a hemoglobin level <12 g/dL, serum ferritin <30 ng/ml, and the presence of microcytic hypochromic red cells with anisocytosis and poikilocytosis. Beta-thalassemia patients were diagnosed through hemoglobin electrophoresis, revealing low hemoglobin A and elevated percentages of HbA2 and HbF, with hospital attendance for investigation.

Approximately 15 ml of fresh blood were drawn through venipuncture from each participant and distributed into six tubes containing anticoagulant (ethylenediaminetetraacetic acid). The samples were stored at 4°C for 5 weeks for the determination of hematological indices on a weekly basis, in addition to baseline data. The hematological indices, including mean red cell width distribution, mean platelet volume, and platelet width distribution, were measured using Beckman Coulter hematology analyzer (United State).

2.1. Statistical Analysis

The results are expressed as a number, median, and mean ± standard deviation (SD). The data were analyzed by one-way analysis of variance (ANOVA) using SPSS version 22 (IBM-compatible). P-value ≤ 0.05 is a cut-off value of significant difference.

3. RESULTS

Table 1 illustrates significant alteration of the hematological indices that occurred after whole blood stored at 4°C for 35 days. From the current study, a significant increase of the RDW from the 2nd week to the 5th week as well as a significant fluctuation of PDW from the 1st to the 5th week were observed, while the platelet indices started from the 1st week to the 4th weeks, and retained non-significantly differed from the pre-storage values [Table 1].

TABLE 1: Effect of whole blood storage on the hematological indices in the healthy subjects (n=14)

thumblarge

It was observed that there were no significant changes in (RDW) and (MPV) following the storage of whole blood at 4°C for 35 days among patients with iron-deficiency anemia. However, a significant elevation was observed in platelet distribution width (PDW) from the 1st to the 5th week. Non-significant changes were noticed in RDW and MPV during various periods of whole blood storage [Table 2].

TABLE 2. Effect of whole blood storage on the hematological indices in patients with iron-deficiency anemia (n=13)

thumblarge

Significant elevation was recorded in the RDW value after storing the whole blood for beta-thalassemia patients at 4°C during the 2nd and the 3rd weeks of storage. Similarly, significant increase in the PDW and MPV from 1st to 5th week of whole blood storaged at 4°C. Non-significant increment of the PDW was observed only after 2 weeks of storage [Table 3].

TABLE 3. Effect of whole blood storage on the hematological indices in patients with thalassemia hereditary anemia (n=10)

thumblarge

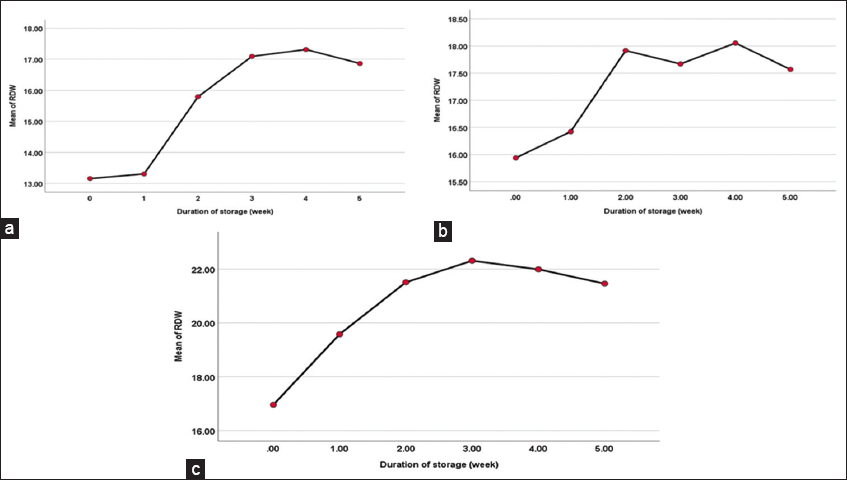
It was noticed that the mean plot from RDW of beta-thalassemia patients is approximately similar to that of healthy subjects, while the mean plot of patients with iron-deficiency anemia showed a bimodal increment in RDW [Fig. 1a-c].

thumblarge

Fig. 1. The mean plot of the red distribution width (coefficient variation %) after storing whole blood, obtained from health subjects (above), patients with iron-deficiency anemia (middle), and patients with thalassemia hereditary anemia, at 4°C for 5 weeks.

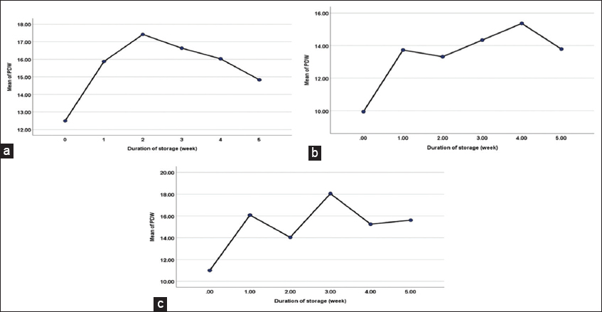
It was reported that the mean plots of PDW from iron-deficiency anemia patients and beta-thalassemia patients were approximately similar, whereas they were differed from the corresponding plot of healthy subjects [Fig. 2a-c].

thumblarge

Fig. 2. The mean plot of the platelet distribution width (%) after storing whole blood, obtained from health subjects (above), patients with iron-deficiency anemia (middle), and patients with thalassemia hereditary anemia, at 4°C for 5 weeks.

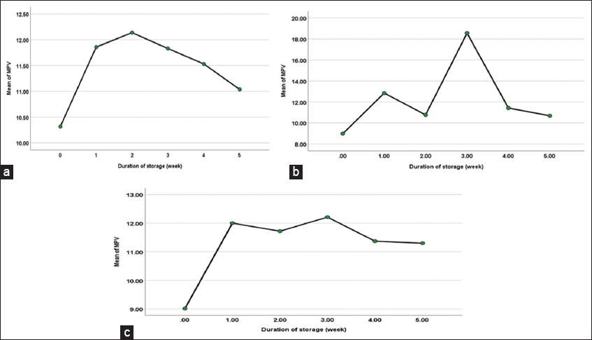
It was concluded that the mean plot of MPV of beta-thalassemia patients has a peak value of MPV increment after 3 weeks of whole blood storage of, which was similar to the corresponding plot of iron-deficiency anemia. The plots of MPV of patients with iron-deficiency anemia and beta-thalassemia were differed from the corresponding plot of healthy subjects [Fig. 3a-c].

thumblarge

Fig. 3. The mean plot of the mean platelet volume (fL) after storing whole blood, obtained from health subjects (above), patients with iron-deficiency anemia (middle), and patients with thalassemia hereditary anemia, at 4°C for 5 weeks.

4. DISCUSSION

The results of this study highlighted important findings, including the effects of whole blood storage on the hematological indices extended to red cell diseases, in addition to the duration of the storage. The baseline mean value of RDW of healthy subjects was less than the corresponding means of iron-deficiency anemia and beta-thalassemia patients. This finding agreed with the results reported by Aulakh et al. in 2009 who observed that the mean ± SD of RDW among iron-deficiency anemia was 18.37 ± 2.22% compared with 16.55 ± 1.51% of the interrelated value of healthiness [12]. The differences between the mean values of iron-deficiency anemia and beta-thalassemia patients were parallel to the results of other studies [13]. Patients with iron-deficiency anemia have a higher mean value of MPV, and there was an inverse relationship with serum iron level [14]. Storage of the whole blood at 4°C caused an increase in the mean values of the RDW, PDW, and MPV among healthy subjects. Storage temperature played an important role in the RDW, PDW, and MPV as reported by Daves et al. who found that storage of the blood samples in different temperatures for short period showed variability in these parameters [15]. The pathological red cell as with iron-deficiency anemia and beta-thalassemia exerts an additional effect on the changes in the RDW, PDW, and MPV, which were the fundamental results of the current study. Low serum iron and ferritin levels among iron-deficiency anemia can explain the increment of RDW during storage, as the microcytic hypochromic red cells tend to show anisocytosis and changes in the red cell shapes [16], although it does not explain our results with thalassemia patients whereas the serum iron is usually high. Red cells of thalassemia patients were characterized by the presence of a higher percentage of anisocytosis with greater morphological alterations, which explained their tendency to have a higher RDW [17]. Patients with thalassemia showed significantly higher values of platelet indices whether at pre-storage or during storage phases due to that the blood platelets of those patients were in a state of activation, i.e., the higher rate of changing their shape and size, which increased by cold temperature [18]. The strength of this study is involving two clinical conditions characterized by microcytic anemia: One of them with iron deficiency and the other with iron overload (thalassemia), which showed different mean plots, which indicating the iron status plays a role in the determination of hematological indices values.

In conclusion, the storage of whole blood significantly caused elevation in the hematological indices with some variations among healthy subjects and patients with iron-deficiency anemia as well as beta-thalassemia. Mean plots of RDW, PDW, and MPV were specific for iron-deficiency anemia and thalassemia compared with the healthy subjects.

REFERENCES

[1] P. C. Spinella, H. F. Pidcoke, G. Strandenes, T. Hervig, A. Fisher, D. Jenkins, M. Yazer, J. Stubbs, A. Murdock, A. Sailliol, P. M. Ness and A. P. Cap. “Whole blood for hemostatic resuscitation of major bleeding”. Transfusion, vol. 56, no. Suppl 2, pp. S190-S202, 2016.

[2] S. Sperling, P. J. Vinholt, U. Sprogøe, M. H. Yazer, H. Frederiksen and C. Nielsen. ”The effects of storage on platelet function in different blood products“. Hematology, vol. 24, no. 1, pp. 89-96, 2019.

[3] M. R. Wirtz, J. Jurgens, C. J. Zuurbier, J. J. T. H. Roelofs, P. C. Spinella, J. A. Muszynski, J. Carel Goslings and N. P. Juffermans. “Washing or filtering of blood products does not improve outcome in a rat model of trauma and multiple transfusion”. Transfusion, vol. 59, pp. 134-145, 2019.

[4] E. Aninagyei, E. T. Doku, P. Adu, A. Egyir-Yawson and D. O. Acheampong. “Storage related haematological and biochemical changes in Plasmodium falciparum infected and sickle cell trait donor blood”. BMC Hematology, vol. 18, 30, 2018.

[5] Y. Zheng, J. Chen, T. Cui, N. Shehata, C. Wang and Y. Sun. “Characterization of red blood cell deformability change during blood storage”. Lab on a Chip, vol. 14, no. 3, pp. 577-583, 2014.

[6] E. Spada, R. Perego, L. Baggiani and D. Proverbio. “Haematological and morphological evaluation of feline whole blood units collected for transfusion purposes”. Journal of Feline Medicine and Surgery, vol. 21, no. 8, pp. 732-740, 2019.

[7] A. Y. Gasparyan, L. Ayvazyan, D. P. Mikhailidis and G. D. Kitas. ”Mean platelet volume:A link between thrombosis and inflammation?“Current Pharmaceutical Design, vol. 17, no. 1, pp. 47-58, 2011.

[8] F. Zaccardi, B. Rocca, D. Pitocco, L. Tanese, A. Rizzi and G. Ghirlanda. “Platelet mean volume, distribution width, and count in type 2 diabetes, impaired fasting glucose, and metabolic syndrome:A meta-analysis”. Diabetes Metabolism Research and Reviews, vol. 31, no. 4, pp. 402-410, 2015.

[9] M. Orak, Y. Karakoç, M. Ustundag, Y. Yildirim, M. K. Celen and C. Güloglu. ”An investigation of the effects of the mean platelet volume, platelet distribution width, platelet/lymphocyte ratio, and platelet counts on mortality in patents with sepsis who applied to the emergency department“. Nigerian Journal of Clinical Practice, vol. 21, no. 5, pp. 667-671, 2018.

[10] X. Wu, B. Cai, Z. Su, Y. Li, J. Xu, R. Deng and L. Wang. ”Aspartate transaminase to platelet ratio index and gamma-glutamyl transpeptidase-to-platelet ratio outweigh fibrosis index based on four factors and red cell distribution width-platelet ratio in diagnosing liver fibrosis and inflammation in chronic hepatitis B“. Journal of Clinical Laboratory Analysis, vol. 32, no. 4, p. e22341, 2018.

[11] U. Naeem, N. Baseer, M. T. M. Khan, M. Hassan, M. Haris and Y. M. Yousafzai. “Effects of transfusion of stored blood in patients with transfusion-dependent thalassemia”. American Journal of Blood Research, vol. 11, no. 6, pp. 592-599, 2021.

[12] R. Aulakh, I. Sohi, T. Singh and N. Kakkar. “Red cell distribution width (RDW) in the diagnosis of iron deficiency with microcytic hypochromic anemia”. Indian Journal of Pediatrics, vol. 76, no. 3, pp. 265-268, 2009.

[13] J. J. M. L. Hoffmann, E. Urrechaga and E. Aguirre. ”Discriminant indices for distinguishing thalassemia and iron deficiency in patients with microcytic anemia:A meta-analysis“. Clinical Chemistry and Laboratory Medicine, vol. 53, no. 12, pp. 1883-1894, 2015.

[14] M. J. Park, P. W. Park, Y. H. Seo, K. H. Kim, S. H. Park, J. H Jeong and J. Y. Ahn. ”The relationship between iron parameters and platelet parameters in women with iron deficiency anemia and thrombocytosis“. Platelets, vol. 24, no. 5, pp. 348-351, 2013.

[15] M. Daves, E. M. Zagler, R. Cemin, F. Gnech, A. Joos, S. Platzgummer and G. Lippi. ”Sample stability for complete blood cell count using the Sysmex XN haematological analyser“. Blood Transfusion, vol. 13, no. 4, pp. 576-582, 2015.

[16] M. D. Akkermans, L. Uijterschout, M. Nuijsink, D. M. Hendriks, J. B. van Goudoever and F. Brus. ”Red blood cell distribution width is not a reliable biomarker for low iron stores in children with cystic fibrosis“. Pediatric Hematology and Oncology, vol. 34, no. 1, pp. 10-16, 2017.

[17] A. Vayá, R. Alis, M. Suescún, L. Rivera, J. Murado, M. Romagnoli, E. Soláand A. Hernandez-Mijares. “Association of erythrocyte deformability with red blood cell distribution width in metabolic diseases and thalassemia trait”. Clinical Hemorheology and Microcirculation, vol. 61, no. 3, pp. 407-415, 2015.

[18] S. Karmakar, D. Banerjee and A. Chakrabarti. “Platelet proteomics in thalassemia:Factors responsible for hypercoagulation”. Proteomics Clinical Applications, vol. 10, no. 3, pp. 239-247, 2016.